Suppr超能文献

一项评估哮喘患者重复给予人白细胞介素 13 抗体(CAT-354)的药代动力学、安全性和耐受性的 1 期研究。

A phase 1 study evaluating the pharmacokinetics, safety and tolerability of repeat dosing with a human IL-13 antibody (CAT-354) in subjects with asthma.

机构信息

Medicines Evaluation Unit, University Hospital of South Manchester Foundation Trust, University of Manchester, Manchester, UK

出版信息

BMC Pulm Med. 2010 Jan 8;10:3. doi: 10.1186/1471-2466-10-3.

Abstract

BACKGROUND

IL-13 has been implicated in the development of airway inflammation and hyperresponsiveness. This study investigated the multiple-dose pharmacokinetics and safety profile of human anti-IL-13 antibody (CAT-354) in adults with asthma.

METHODS

This was a multiple-dose, randomised, double-blind, placebo-controlled phase 1 study in asthmatics (forced expiratory volume in 1 second [FEV1] >or= 80% predicted). Subjects were randomised to receive three intravenous infusions of CAT-354 (1 mg/kg, 5 mg/kg or 10 mg/kg) or placebo at 28-day intervals. Blood samples were taken for pharmacokinetic measurements. Safety was assessed by adverse events, vital signs, ECGs, laboratory and pulmonary function parameters.

RESULTS

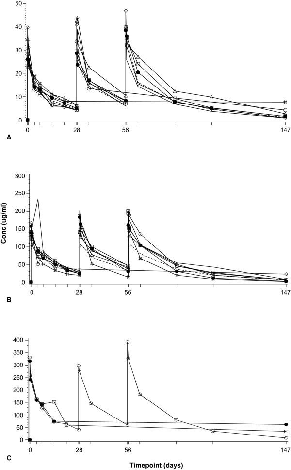
Twenty-three subjects (aged 21-60 years, FEV1 88-95% predicted) received >or= 1 dose of study medication. The half-life of CAT-354 was 12-17 days and was dose-independent. The maximum serum concentration and area under the curve were dose-dependent. Clearance (2.2-2.6 mL/day/kg) and volume of distribution (44-57 mL/kg) were both low and dose-independent. The observed maximum serum concentration after each dose increased slightly from dose 1 through dose 3 at all dose levels, consistent with an accumulation ratio of 1.4 to 1.7 for area under the curve. Most adverse events were deemed mild to moderate and unrelated to study medication. One SAE was reported and deemed unrelated to study drug. There were no effects of clinical concern for vital signs, ECG, laboratory or pulmonary parameters.

CONCLUSIONS

CAT-354 exhibited linear pharmacokinetics and an acceptable safety profile. These findings suggest that at the doses tested, CAT-354 can be safely administered in multiple doses to patients with asthma.

TRIAL REGISTRATION

NCT00974675.

摘要

背景

白细胞介素-13(IL-13)与气道炎症和高反应性的发展有关。本研究调查了抗人白细胞介素-13 抗体(CAT-354)在哮喘患者中的多次给药药代动力学和安全性特征。

方法

这是一项在哮喘患者(第 1 秒用力呼气量[FEV1]≥80%预测值)中进行的多次给药、随机、双盲、安慰剂对照的 1 期研究。受试者按 28 天间隔随机接受 CAT-354(1 mg/kg、5 mg/kg 或 10 mg/kg)或安慰剂的 3 次静脉输注。采集血样进行药代动力学测量。安全性通过不良事件、生命体征、心电图、实验室和肺功能参数进行评估。

结果

23 名(年龄 21-60 岁,FEV1 88-95%预测值)受试者接受了≥1 次研究药物治疗。CAT-354 的半衰期为 12-17 天,且与剂量无关。最大血清浓度和曲线下面积与剂量有关。清除率(2.2-2.6 mL/天/kg)和分布容积(44-57 mL/kg)均较低且与剂量无关。在所有剂量水平下,从第 1 剂到第 3 剂,每次给药后的观察到的最大血清浓度均略有增加,与 AUC 的蓄积比为 1.4 至 1.7 一致。大多数不良事件被认为是轻度至中度的,与研究药物无关。报告了 1 例严重不良事件,认为与研究药物无关。生命体征、心电图、实验室或肺功能参数无临床关注的影响。

结论

CAT-354 表现出线性药代动力学和可接受的安全性特征。这些发现表明,在所测试的剂量下,CAT-354 可以安全地多次给药给哮喘患者。

试验注册

NCT00974675。

https://cdn.ncbi.nlm.nih.gov/pmc/blobs/0268/2820465/baaecc6e0e0f/1471-2466-10-3-1.jpg

文献AI研究员

20分钟写一篇综述,助力文献阅读效率提升50倍。

立即体验

用中文搜PubMed

大模型驱动的PubMed中文搜索引擎

马上搜索

文档翻译

学术文献翻译模型,支持多种主流文档格式。

立即体验