Suppr超能文献

体外重建四嗪酸盐 RK-682 生物合成。

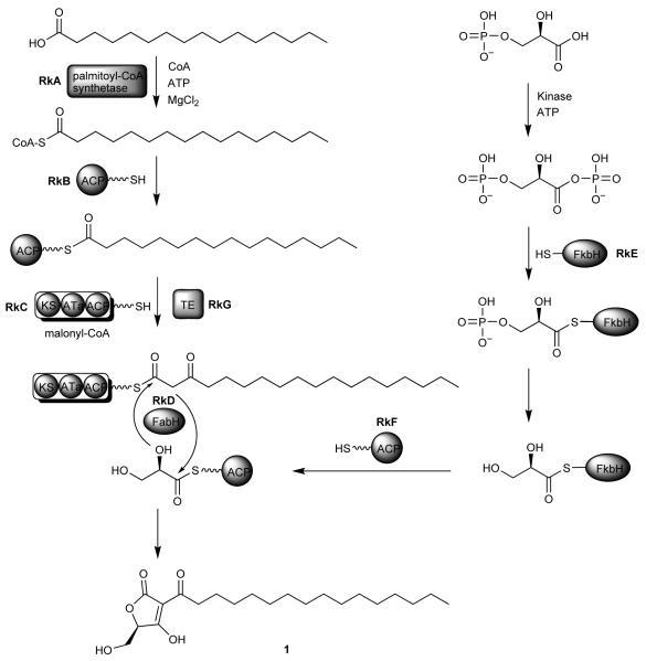
In vitro reconstruction of tetronate RK-682 biosynthesis.

机构信息

Department of Biochemistry, University of Cambridge, Cambridge, UK.

出版信息

Nat Chem Biol. 2010 Feb;6(2):99-101. doi: 10.1038/nchembio.285. Epub 2009 Dec 20.

Abstract

The protein phosphatase inhibitor RK-682 is one of a number of potentially valuable tetronate polyketide natural products. Understanding how the tetronate ring is formed has been frustrated by the inaccessibility of the putative substrates. We report the heterologous expression of rk genes in Saccharopolyspora erythraea and reconstitution of the RK-682 pathway using recombinant enzymes, and we show that RkD is the enzyme required for RK-682 formation from acyl carrier protein-bound substrates.

摘要

蛋白磷酸酶抑制剂 RK-682 是一类具有潜在价值的四酮聚酮天然产物之一。由于推测的底物难以接近,因此无法了解四酮环的形成方式。我们报告了在红色糖多孢菌中异源表达 rk 基因,并使用重组酶重新构建了 RK-682 途径,结果表明 RkD 是将酰基辅酶 A 结合的底物转化为 RK-682 所需的酶。

https://cdn.ncbi.nlm.nih.gov/pmc/blobs/23ee/2811812/06839b2f5bad/ukmss-28007-f0001.jpg

文献AI研究员

20分钟写一篇综述,助力文献阅读效率提升50倍。

立即体验

用中文搜PubMed

大模型驱动的PubMed中文搜索引擎

马上搜索

文档翻译

学术文献翻译模型,支持多种主流文档格式。

立即体验