Suppr超能文献

重建灵长类大脑进化的兴衰:对适应性假说和弗洛里斯人( Homo floresiensis )的影响。

Reconstructing the ups and downs of primate brain evolution: implications for adaptive hypotheses and Homo floresiensis.

机构信息

Department of Zoology, University of Cambridge, Downing Street, Cambridge, UK.

出版信息

BMC Biol. 2010 Jan 27;8:9. doi: 10.1186/1741-7007-8-9.

Abstract

BACKGROUND

Brain size is a key adaptive trait. It is often assumed that increasing brain size was a general evolutionary trend in primates, yet recent fossil discoveries have documented brain size decreases in some lineages, raising the question of how general a trend there was for brains to increase in mass over evolutionary time. We present the first systematic phylogenetic analysis designed to answer this question.

RESULTS

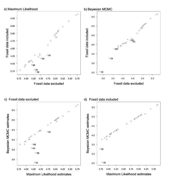
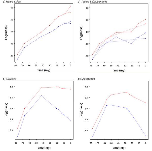
We performed ancestral state reconstructions of three traits (absolute brain mass, absolute body mass, relative brain mass) using 37 extant and 23 extinct primate species and three approaches to ancestral state reconstruction: parsimony, maximum likelihood and Bayesian Markov-chain Monte Carlo. Both absolute and relative brain mass generally increased over evolutionary time, but body mass did not. Nevertheless both absolute and relative brain mass decreased along several branches. Applying these results to the contentious case of Homo floresiensis, we find a number of scenarios under which the proposed evolution of Homo floresiensis' small brain appears to be consistent with patterns observed along other lineages, dependent on body mass and phylogenetic position.

CONCLUSIONS

Our results confirm that brain expansion began early in primate evolution and show that increases occurred in all major clades. Only in terms of an increase in absolute mass does the human lineage appear particularly striking, with both the rate of proportional change in mass and relative brain size having episodes of greater expansion elsewhere on the primate phylogeny. However, decreases in brain mass also occurred along branches in all major clades, and we conclude that, while selection has acted to enlarge primate brains, in some lineages this trend has been reversed. Further analyses of the phylogenetic position of Homo floresiensis and better body mass estimates are required to confirm the plausibility of the evolution of its small brain mass. We find that for our dataset the Bayesian analysis for ancestral state reconstruction is least affected by inclusion of fossil data suggesting that this approach might be preferable for future studies on other taxa with a poor fossil record.

摘要

背景

大脑大小是一个关键的适应性特征。人们通常认为,大脑尺寸的增加是灵长类动物的一个普遍进化趋势,但最近的化石发现记录了一些谱系中大脑尺寸的减小,这就提出了一个问题,即在进化过程中,大脑质量普遍增加的趋势有多大。我们提出了第一个旨在回答这个问题的系统进化分析。

结果

我们使用 37 种现存和 23 种已灭绝的灵长类物种以及三种祖先状态重建方法(简约法、最大似然法和贝叶斯马尔可夫链蒙特卡罗法),对三个特征(绝对脑质量、绝对体质量、相对脑质量)进行了祖先状态重建。绝对和相对脑质量总体上随着进化时间的推移而增加,但体质量没有增加。尽管如此,绝对和相对脑质量都沿着几个分支减少。将这些结果应用于有争议的弗洛勒斯人案例,我们发现了一些情况下,弗洛勒斯人小脑袋的进化提议与其他谱系观察到的模式是一致的,这取决于体质量和系统发育位置。

结论

我们的结果证实了大脑扩张在灵长类进化的早期就开始了,并表明这种扩张发生在所有主要分支中。只有从绝对质量的增加来看,人类谱系才显得特别引人注目,质量的比例变化和相对脑大小的增加在灵长类系统发育的其他地方都有出现过。然而,大脑质量的减少也发生在所有主要分支中,我们得出的结论是,虽然选择作用使灵长类大脑增大,但在一些谱系中,这种趋势已经逆转。进一步分析弗洛勒斯人的系统发育位置和更好的体质量估计值,以确认其小脑袋质量的进化是合理的。我们发现,对于我们的数据集,贝叶斯分析对祖先状态重建的影响最小,这表明这种方法对于未来其他化石记录较差的分类群的研究可能是优选的。

https://cdn.ncbi.nlm.nih.gov/pmc/blobs/1ae2/2825212/9dda6b82f249/1741-7007-8-9-1.jpg

文献AI研究员

20分钟写一篇综述,助力文献阅读效率提升50倍。

立即体验

用中文搜PubMed

大模型驱动的PubMed中文搜索引擎

马上搜索

文档翻译

学术文献翻译模型,支持多种主流文档格式。

立即体验