Suppr超能文献

Smed454 数据集:揭示地中海星虫的转录组。

Smed454 dataset: unravelling the transcriptome of Schmidtea mediterranea.

机构信息

Departament de Genètica, Facultat de Biología, Universitat de Barcelona (UB), Barcelona, Catalunya, Spain.

出版信息

BMC Genomics. 2010 Dec 31;11:731. doi: 10.1186/1471-2164-11-731.

Abstract

BACKGROUND

Freshwater planarians are an attractive model for regeneration and stem cell research and have become a promising tool in the field of regenerative medicine. With the availability of a sequenced planarian genome, the recent application of modern genetic and high-throughput tools has resulted in revitalized interest in these animals, long known for their amazing regenerative capabilities, which enable them to regrow even a new head after decapitation. However, a detailed description of the planarian transcriptome is essential for future investigation into regenerative processes using planarians as a model system.

RESULTS

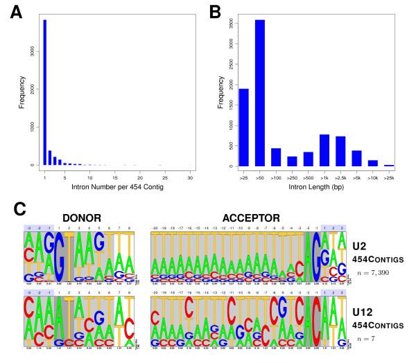
In order to complement and improve existing gene annotations, we used a 454 pyrosequencing approach to analyze the transcriptome of the planarian species Schmidtea mediterranea Altogether, 598,435 454-sequencing reads, with an average length of 327 bp, were assembled together with the ~10,000 sequences of the S. mediterranea UniGene set using different similarity cutoffs. The assembly was then mapped onto the current genome data. Remarkably, our Smed454 dataset contains more than 3 million novel transcribed nucleotides sequenced for the first time. A descriptive analysis of planarian splice sites was conducted on those Smed454 contigs that mapped univocally to the current genome assembly. Sequence analysis allowed us to identify genes encoding putative proteins with defined structural properties, such as transmembrane domains. Moreover, we annotated the Smed454 dataset using Gene Ontology, and identified putative homologues of several gene families that may play a key role during regeneration, such as neurotransmitter and hormone receptors, homeobox-containing genes, and genes related to eye function.

CONCLUSIONS

We report the first planarian transcript dataset, Smed454, as an open resource tool that can be accessed via a web interface. Smed454 contains significant novel sequence information about most expressed genes of S. mediterranea. Analysis of the annotated data promises to contribute to identification of gene families poorly characterized at a functional level. The Smed454 transcriptome data will assist in the molecular characterization of S. mediterranea as a model organism, which will be useful to a broad scientific community.

摘要

背景

淡水涡虫是再生和干细胞研究的理想模型,并且已经成为再生医学领域有前途的工具。随着计划虫基因组测序的完成,现代遗传和高通量工具的最近应用重新激发了人们对这些动物的兴趣,这些动物以其惊人的再生能力而闻名,它们甚至可以在头部被切除后重新生长出一个新的头部。然而,详细描述涡虫转录组对于未来使用涡虫作为模型系统来研究再生过程是至关重要的。

结果

为了补充和改进现有的基因注释,我们使用 454 焦磷酸测序方法来分析淡水涡虫物种 Schmidtea mediterranea 的转录组。总共组装了 598435 条 454 测序reads,平均长度为 327bp,与约 10000 条 S. mediterranea UniGene 集的序列一起使用不同的相似性截断值进行组装。然后将组装结果映射到当前的基因组数据上。值得注意的是,我们的 Smed454 数据集包含了 300 多万个首次测序的新转录核苷酸。对那些唯一映射到当前基因组组装的 Smed454 连续体进行了计划虫剪接位点的描述性分析。序列分析使我们能够识别出编码具有明确定义结构特性的假定蛋白质的基因,例如跨膜结构域。此外,我们使用基因本体论对 Smed454 数据集进行了注释,并鉴定了几个可能在再生过程中发挥关键作用的基因家族的假定同源物,例如神经递质和激素受体、同源盒基因和与眼睛功能相关的基因。

结论

我们报告了第一个淡水涡虫转录数据集 Smed454,它是一个可以通过网络界面访问的开放资源工具。Smed454 包含了 S. mediterranea 中大多数表达基因的大量新的序列信息。对注释数据的分析有望有助于鉴定功能水平描述较差的基因家族。Smed454 转录组数据将有助于将 S. mediterranea 作为模式生物进行分子特征描述,这将对广泛的科学界有用。

https://cdn.ncbi.nlm.nih.gov/pmc/blobs/f4cd/3022928/c00780c68f39/1471-2164-11-731-1.jpg

文献AI研究员

20分钟写一篇综述,助力文献阅读效率提升50倍。

立即体验

用中文搜PubMed

大模型驱动的PubMed中文搜索引擎

马上搜索

文档翻译

学术文献翻译模型,支持多种主流文档格式。

立即体验