Suppr超能文献

白种女性和亚洲女性中的瘦素、脂联素与肥胖。

Leptin, adiponectin, and obesity among Caucasian and Asian women.

机构信息

University of Hawaii Cancer Center, Cancer Epidemiology Program, Honolulu, HI 96813, USA.

出版信息

Mediators Inflamm. 2011;2011:253580. doi: 10.1155/2011/253580. Epub 2011 Feb 8.

Abstract

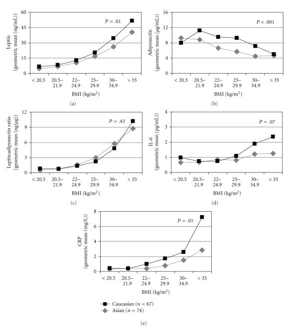
Ethnic differences in adipose tissue distribution may contribute to different chronic disease risks across ethnic groups, and adipokines may mediate the risk. In a cross-sectional study, we examined ethnic differences in adipokines and inflammatory markers as related to body mass index (BMI) among 183 premenopausal women with Caucasian and Asian ancestry. General linear models were used to estimate adjusted mean levels of leptin, adiponectin, interleukin-6, and C-reactive protein (CRP). Asian women had significantly lower serum levels of leptin, adiponectin, and CRP than Caucasian participants (P≤.01) across all levels of BMI. Among overweight and obese women, Asians showed a stronger association of CRP with leptin (β=1.34 versus β=0.64) and with adiponectin (β=-0.95 versus β=-0.75) than Caucasians. Compared to Caucasians of similar BMI, Asians may experience a higher chronic disease risk due to lower levels of adiponectin despite their lower levels of leptin.

摘要

脂肪组织分布的种族差异可能导致不同种族群体的慢性疾病风险不同,而脂肪因子可能介导这种风险。在一项横断面研究中,我们研究了 183 名具有白人和亚洲血统的绝经前女性中,脂肪因子和炎症标志物与体重指数(BMI)之间的种族差异。使用一般线性模型估计瘦素、脂联素、白细胞介素-6 和 C 反应蛋白(CRP)的调整后平均水平。在所有 BMI 水平下,亚洲女性的血清瘦素、脂联素和 CRP 水平明显低于白种人参与者(P≤.01)。在超重和肥胖女性中,与白种人相比,亚洲人 CRP 与瘦素(β=1.34 与 β=0.64)和脂联素(β=-0.95 与 β=-0.75)的相关性更强。与具有相似 BMI 的白种人相比,亚洲人可能由于脂联素水平较低而面临更高的慢性疾病风险,尽管他们的瘦素水平较低。

https://cdn.ncbi.nlm.nih.gov/pmc/blobs/a7d0/3038565/2d1eb7217a77/MI2011-253580.001.jpg

文献AI研究员

20分钟写一篇综述,助力文献阅读效率提升50倍。

立即体验

用中文搜PubMed

大模型驱动的PubMed中文搜索引擎

马上搜索

文档翻译

学术文献翻译模型,支持多种主流文档格式。

立即体验