Suppr超能文献

2型糖尿病GK和OLETF大鼠主动脉和颈动脉血管舒张的差异变化:高血糖和胰岛素的矛盾作用

Differential changes of aorta and carotid vasodilation in type 2 diabetic GK and OLETF rats: paradoxical roles of hyperglycemia and insulin.

作者信息

Zhong Mei-Fang, Shen Wei-Li, Tabuchi Masaki, Nakamura Kyoko, Chen Yi-Chen, Qiao Cong-Zhen, He Jin, Yang Jie, Zhang Chuan, Kamenov Zdravko, Higashino Hideaki, Chen Hong

机构信息

Department of Pharmacology and Shanghai Key Laboratory of Vascular Biology, Ruijin Hospital, Shanghai Jiao Tong University School of Medicine, Shanghai 200025, China.

出版信息

Exp Diabetes Res. 2012;2012:429020. doi: 10.1155/2012/429020. Epub 2011 Oct 1.

Abstract

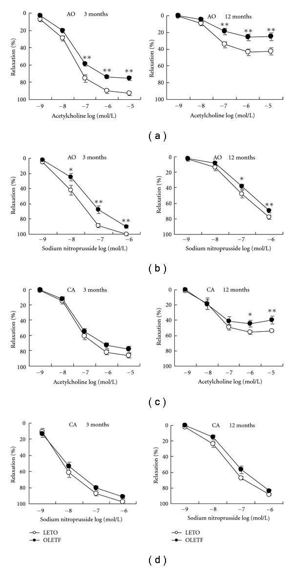
We investigated large vessel function in lean Goto-Kakizaki diabetic rats (GK) and Otsuka Long-Evans Tokushima Fatty diabetic rats (OLETF) with possible roles of hyperglycemia/hyperosmolarity and insulin. Both young and old GK showed marked hyperglycemia with normal insulin level and well-preserved endothelium-dependent and endothelium-independent vasodilation in aorta and carotid artery. There were significant elevations in endothelial/inducible nitric oxide synthase (eNOS/iNOS) and inducible/constitutive heme oxygenase (HO-1/HO-2) in GK. The endothelium-dependent vasodilation in GK was inhibited partly by NOS blockade and completely by simultaneous blocking of HO and NOS. In contrast, OLETF showed hyperinsulinemia and mild hyperglycemia but significant endothelium dysfunction beginning at early ages with concomitantly reduced eNOS. Insulin injection corrected hyperglycemia in GK but induced endothelium dysfunction and intima hyperplasia. Hyperglycemia/hyperosmolarity in vitro enhanced vessel eNOS/HO. We suggest that hyperinsulinemia plays a role in endothelium dysfunction in obese diabetic OLETF, while hyperglycemia/hyperosmolarity-induced eNOS/HO upregulation participates in the adaptation of endothelium function in lean diabetic GK.

摘要

我们研究了瘦型五岛-梶崎糖尿病大鼠(GK)和大冢长-艾氏-德岛肥胖糖尿病大鼠(OLETF)的大血管功能,以及高血糖/高渗和胰岛素可能发挥的作用。年轻和年老的GK大鼠均表现出明显的高血糖,胰岛素水平正常,主动脉和颈动脉的内皮依赖性和非内皮依赖性血管舒张功能保存良好。GK大鼠的内皮型/诱导型一氧化氮合酶(eNOS/iNOS)和诱导型/组成型血红素加氧酶(HO-1/HO-2)显著升高。GK大鼠的内皮依赖性血管舒张功能部分被一氧化氮合酶阻断所抑制,同时阻断血红素加氧酶和一氧化氮合酶则完全被抑制。相比之下,OLETF大鼠表现为高胰岛素血症和轻度高血糖,但从幼年开始就出现明显的内皮功能障碍,同时伴有eNOS降低。胰岛素注射纠正了GK大鼠的高血糖,但诱导了内皮功能障碍和内膜增生。体外高血糖/高渗增强了血管eNOS/HO。我们认为,高胰岛素血症在肥胖糖尿病OLETF大鼠的内皮功能障碍中起作用,而高血糖/高渗诱导的eNOS/HO上调参与了瘦型糖尿病GK大鼠内皮功能的适应性变化。

https://cdn.ncbi.nlm.nih.gov/pmc/blobs/34af/3184433/a8c2930b85a2/EDR2012-429020.001.jpg

文献AI研究员

20分钟写一篇综述,助力文献阅读效率提升50倍。

立即体验

用中文搜PubMed

大模型驱动的PubMed中文搜索引擎

马上搜索

文档翻译

学术文献翻译模型,支持多种主流文档格式。

立即体验