Suppr超能文献

含可再分散喷雾干燥载有褪黑素纳米胶囊的水凝胶:一种经皮控释的制剂。

Hydrogels containing redispersible spray-dried melatonin-loaded nanocapsules: a formulation for transdermal-controlled delivery.

机构信息

Programa de Pós-Graduação em Ciências Farmacêuticas, Universidade Federal do Rio Grande do Sul, Av, 2752, Porto Alegre, CEP, 90610-000, Brazil.

出版信息

Nanoscale Res Lett. 2012 May 15;7(1):251. doi: 10.1186/1556-276X-7-251.

Abstract

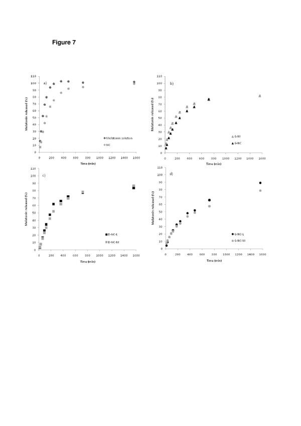
The aim of the present study was to develop a transdermal system for controlled delivery of melatonin combining three strategies: nanoencapsulation of melatonin, drying of melatonin-loaded nanocapsules, and incorporation of nanocapsules in a hydrophilic gel. Nanocapsules were prepared by interfacial deposition of the polymer and were spray-dried using water-soluble excipients. In vitro drug release profiles were evaluated by the dialysis bag method, and skin permeation studies were carried out using Franz cells with porcine skin as the membrane. The use of 10% (w/v) water-soluble excipients (lactose or maltodextrin) as spray-drying adjuvants furnished redispersible powders (redispersibility index approximately 1.0) suitable for incorporation into hydrogels. All formulations showed a better controlled in vitro release of melatonin compared with the melatonin solution. The best controlled release results were achieved with hydrogels prepared with dried nanocapsules (hydrogels > redispersed dried nanocapsules > nanocapsule suspension > melatonin solution). The skin permeation studies demonstrated a significant modulation of the transdermal melatonin permeation for hydrogels prepared with redispersible nanocapsules. In this way, the additive effect of the different approaches used in this study (nanoencapsulation, spray-drying, and preparation of semisolid dosage forms) allows not only the control of melatonin release, but also transdermal permeation.

摘要

本研究旨在开发一种结合三种策略的褪黑素经皮传递系统

纳米封装、载药纳米囊的干燥和纳米囊在亲水性凝胶中的嵌入。纳米囊是通过聚合物的界面沉积制备的,并使用水溶性赋形剂喷雾干燥。通过透析袋法评估体外药物释放曲线,并使用Franz 细胞和猪皮作为膜进行皮肤渗透研究。使用 10%(w/v)水溶性赋形剂(乳糖或麦芽糊精)作为喷雾干燥助剂可获得适合嵌入水凝胶的再分散粉末(再分散指数约为 1.0)。与褪黑素溶液相比,所有制剂均显示出更好的褪黑素体外控制释放。使用干燥纳米囊制备的水凝胶(水凝胶>再分散干燥纳米囊>纳米囊混悬液>褪黑素溶液)可实现最佳的控制释放效果。皮肤渗透研究表明,用可再分散纳米囊制备的水凝胶可显著调节褪黑素的经皮渗透。通过这种方式,本研究中使用的不同方法(纳米封装、喷雾干燥和半固体剂型制备)的附加效应不仅可以控制褪黑素的释放,还可以控制经皮渗透。

https://cdn.ncbi.nlm.nih.gov/pmc/blobs/1fe1/3463463/dfe27221d6a1/1556-276X-7-251-1.jpg

文献AI研究员

20分钟写一篇综述,助力文献阅读效率提升50倍。

立即体验

用中文搜PubMed

大模型驱动的PubMed中文搜索引擎

马上搜索

文档翻译

学术文献翻译模型,支持多种主流文档格式。

立即体验