Suppr超能文献

人细胞和血浆中特异的 AGO1 和 AGO2 相关 miRNA 谱。

Distinct AGO1 and AGO2 associated miRNA profiles in human cells and blood plasma.

机构信息

Molecular Epidemiology C080, German Cancer Research Center, Heidelberg, Germany.

出版信息

RNA Biol. 2012 Aug;9(8):1066-75. doi: 10.4161/rna.21083. Epub 2012 Aug 1.

Abstract

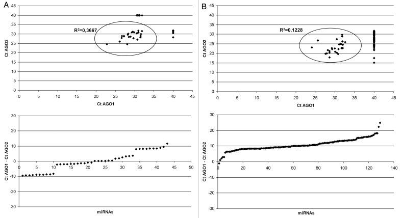
Studies of miRNA association with Argonaute (AGO) proteins in mammalian cells have indicated lack of bias toward particular AGO. However, to our knowledge, the use of quantitative methods for studying miRNA association with different AGOs has not been reported so far. In this work we compared the total miRNA content in AGO1 and AGO2 immunoprecipitates obtained from MCF7 adenocarcinoma cells using TaqMan Low Density miRNA Arrays and successfully verified selected miRNAs with qPCR. For most of the miRNA species AGO1 and AGO2 profiles were well correlated, however, some miRNAs demonstrated consistent biases toward one of the Argonautes. Furthermore, miRNAs which were predominantly AGO2-associated derived mostly from sense strands of the corresponding pre-miRNAs while the majority of AGO1 biased miRNAs originated from antisense strands of the pre-miRNAs. Additionally, we show that circulating miRNA in human blood plasma can be immunoprecipitated with both AGO1 and AGO2 antibody. However, unlike in cell lysates, AGO1 and AGO2 associated miRNA profiles in plasma did not correlate, indicating that many cell types contribute to circulating miRNA (given that expression of AGO proteins is tissue specific). Furthermore, AGO-specific miRNA profiles in blood cells differed significantly from miRNAs profiles in plasma indicating that most circulating miRNAs are likely to derive from non-blood cells. Since circulating miRNAs hold great promise as biomarkers for numerous cancers and other diseases, we hypothesize that AGO-specific miRNA profiles might add an additional dimension to circulating miRNA-based diagnostics.

摘要

目前,在哺乳动物细胞中,关于 miRNA 与 Argonaute(AGO)蛋白之间的关联研究表明,AGO 蛋白之间不存在明显的偏好性。然而,据我们所知,目前尚未有使用定量方法研究不同 AGO 蛋白与 miRNA 之间关联的报道。在本研究中,我们使用 TaqMan Low Density miRNA Arrays 比较了 MCF7 腺癌细胞中 AGO1 和 AGO2 免疫沉淀物中的总 miRNA 含量,并成功地通过 qPCR 对选定的 miRNA 进行了验证。对于大多数 miRNA 种类,AGO1 和 AGO2 的特征谱都很好地相关,但有些 miRNA 始终偏向于一个 Argonaute。此外,主要与 AGO2 相关的 miRNA 主要来源于相应前体 miRNA 的有义链,而大多数 AGO1 偏向的 miRNA 则来源于前体 miRNA 的反义链。此外,我们还证明了人类血液血浆中的循环 miRNA 可以用 AGO1 和 AGO2 抗体进行免疫沉淀。然而,与细胞裂解物不同,血浆中 AGO1 和 AGO2 相关的 miRNA 特征谱不相关,这表明许多细胞类型都参与了循环 miRNA(鉴于 AGO 蛋白的表达是组织特异性的)。此外,血液细胞中的 AGO 特异性 miRNA 特征与血浆中的 miRNA 特征明显不同,这表明大多数循环 miRNA 可能来自非血细胞。由于循环 miRNA 在许多癌症和其他疾病的生物标志物中具有很大的应用前景,我们假设 AGO 特异性 miRNA 特征可能为基于循环 miRNA 的诊断提供额外的维度。

https://cdn.ncbi.nlm.nih.gov/pmc/blobs/df54/3551861/a1f1cdd6dbe6/rna-9-1066-g1.jpg

文献AI研究员

20分钟写一篇综述,助力文献阅读效率提升50倍。

立即体验

用中文搜PubMed

大模型驱动的PubMed中文搜索引擎

马上搜索

文档翻译

学术文献翻译模型,支持多种主流文档格式。

立即体验