Suppr超能文献

TNA4OptFlux——一种用于分析菌株优化策略的软件工具。

TNA4OptFlux--a software tool for the analysis of strain optimization strategies.

作者信息

Pinto José P, Pereira Rui, Cardoso João, Rocha Isabel, Rocha Miguel

机构信息

Department of Informatics/CCTC, University of Minho, Campus de Gualtar, Braga, 4710-057, Portugal.

出版信息

BMC Res Notes. 2013 May 3;6:175. doi: 10.1186/1756-0500-6-175.

Abstract

BACKGROUND

Rational approaches for Metabolic Engineering (ME) deal with the identification of modifications that improve the microbes' production capabilities of target compounds. One of the major challenges created by strain optimization algorithms used in these ME problems is the interpretation of the changes that lead to a given overproduction. Often, a single gene knockout induces changes in the fluxes of several reactions, as compared with the wild-type, and it is therefore difficult to evaluate the physiological differences of the in silico mutant. This is aggravated by the fact that genome-scale models per se are difficult to visualize, given the high number of reactions and metabolites involved.

FINDINGS

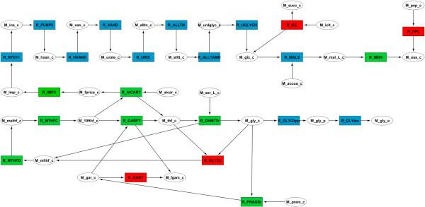
We introduce a software tool, the Topological Network Analysis for OptFlux (TNA4OptFlux), a plug-in which adds to the open-source ME platform OptFlux the capability of creating and performing topological analysis over metabolic networks. One of the tool's major advantages is the possibility of using these tools in the analysis and comparison of simulated phenotypes, namely those coming from the results of strain optimization algorithms. We illustrate the capabilities of the tool by using it to aid the interpretation of two E. coli strains designed in OptFlux for the overproduction of succinate and glycine.

CONCLUSIONS

Besides adding new functionalities to the OptFlux software tool regarding topological analysis, TNA4OptFlux methods greatly facilitate the interpretation of non-intuitive ME strategies by automating the comparison between perturbed and non-perturbed metabolic networks. The plug-in is available on the web site http://www.optflux.org, together with extensive documentation.

摘要

背景

代谢工程(ME)的合理方法涉及识别能够提高微生物目标化合物生产能力的修饰。这些ME问题中使用的菌株优化算法带来的主要挑战之一是解释导致特定过量生产的变化。与野生型相比,通常单个基因敲除会引起多个反应通量的变化,因此难以评估计算机模拟突变体的生理差异。鉴于涉及大量反应和代谢物,基因组规模模型本身难以可视化,这一问题更加严重。

研究结果

我们引入了一个软件工具,即用于OptFlux的拓扑网络分析(TNA4OptFlux),这是一个插件,它为开源ME平台OptFlux增加了对代谢网络进行创建和执行拓扑分析的功能。该工具的主要优点之一是可以在分析和比较模拟表型时使用这些工具,即那些来自菌株优化算法结果的表型。我们通过使用该工具来辅助解释在OptFlux中设计的用于过量生产琥珀酸和甘氨酸的两种大肠杆菌菌株,来说明该工具的功能。

结论

除了在拓扑分析方面为OptFlux软件工具添加新功能外,TNA4OptFlux方法通过自动比较受干扰和未受干扰的代谢网络,极大地促进了对非直观ME策略的解释。该插件可在网站http://www.optflux.org上获取,并附有详细文档。

https://cdn.ncbi.nlm.nih.gov/pmc/blobs/d70d/3658915/8d26d7a1ae7a/1756-0500-6-175-1.jpg

文献AI研究员

20分钟写一篇综述,助力文献阅读效率提升50倍。

立即体验

用中文搜PubMed

大模型驱动的PubMed中文搜索引擎

马上搜索

文档翻译

学术文献翻译模型,支持多种主流文档格式。

立即体验