Suppr超能文献

氯沙坦可逆转糖尿病db/db小鼠肾小球中允许性表观遗传变化。

Losartan reverses permissive epigenetic changes in renal glomeruli of diabetic db/db mice.

作者信息

Reddy Marpadga A, Sumanth Putta, Lanting Linda, Yuan Hang, Wang Mei, Mar Daniel, Alpers Charles E, Bomsztyk Karol, Natarajan Rama

机构信息

Department of Diabetes, Beckman Research Institute of the City of Hope, Duarte, California, USA.

Department of Medicine, UW Medicine Lake Union, University of Washington, Seattle, Washington, USA.

出版信息

Kidney Int. 2014 Feb;85(2):362-73. doi: 10.1038/ki.2013.387. Epub 2013 Oct 2.

Abstract

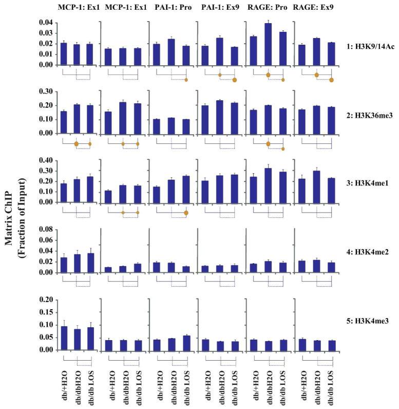
Epigenetic mechanisms such as chromatin histone H3 lysine methylation and acetylation have been implicated in diabetic vascular complications. However, histone modification profiles at pathologic genes associated with diabetic nephropathy in vivo and their regulation by the angiotensin II type 1 receptor (AT1R) are not clear. Here we tested whether treatment of type 2 diabetic db/db mice with the AT1R blocker losartan not only ameliorates diabetic nephropathy, but also reverses epigenetic changes. As expected, the db/db mice had increased blood pressure, mesangial hypertrophy, proteinuria, and glomerular expression of RAGE and PAI-1 vs. control db/+ mice. This was associated with increased RNA polymerase II recruitment and permissive histone marks as well as decreased repressive histone marks at these genes, and altered expression of relevant histone modification enzymes. Increased MCP-1 mRNA levels were not associated with such epigenetic changes, suggesting post-transcriptional regulation. Losartan attenuated key parameters of diabetic nephropathy and gene expression, and reversed some but not all the epigenetic changes in db/db mice. Losartan also attenuated increased H3K9/14Ac at RAGE, PAI-1, and MCP-1 promoters in mesangial cells cultured under diabetic conditions. Our results provide novel information about the chromatin state at key pathologic genes in vivo in diabetic nephropathy mediated in part by AT1R. Thus, combination therapies targeting epigenetic regulators and AT1R could be evaluated for more effective treatment of diabetic nephropathy.

摘要

诸如染色质组蛋白H3赖氨酸甲基化和乙酰化等表观遗传机制与糖尿病血管并发症有关。然而,体内与糖尿病肾病相关的病理基因处的组蛋白修饰谱及其受1型血管紧张素II受体(AT1R)的调控尚不清楚。在此,我们测试了用AT1R阻滞剂氯沙坦治疗2型糖尿病db/db小鼠是否不仅能改善糖尿病肾病,还能逆转表观遗传变化。正如预期的那样,与对照db/+小鼠相比,db/db小鼠血压升高、系膜肥大、蛋白尿以及RAGE和PAI-1的肾小球表达增加。这与这些基因处RNA聚合酶II募集增加、允许性组蛋白标记增加以及抑制性组蛋白标记减少以及相关组蛋白修饰酶的表达改变有关。MCP-1 mRNA水平升高与此类表观遗传变化无关,提示存在转录后调控。氯沙坦减轻了糖尿病肾病的关键参数和基因表达,并逆转了db/db小鼠中部分而非全部的表观遗传变化。氯沙坦还减轻了在糖尿病条件下培养的系膜细胞中RAGE、PAI-1和MCP-1启动子处H3K9/14Ac的增加。我们的结果提供了关于体内糖尿病肾病关键病理基因染色质状态的新信息,其部分由AT1R介导。因此,可以评估靶向表观遗传调节因子和AT1R的联合疗法对糖尿病肾病的更有效治疗。

https://cdn.ncbi.nlm.nih.gov/pmc/blobs/bf6d/3946617/7eeafda379fd/nihms519854f1.jpg

文献AI研究员

20分钟写一篇综述,助力文献阅读效率提升50倍。

立即体验

用中文搜PubMed

大模型驱动的PubMed中文搜索引擎

马上搜索

文档翻译

学术文献翻译模型,支持多种主流文档格式。

立即体验