Suppr超能文献

近端龋损治疗替代方案的成本与效果

Costs and effectiveness of treatment alternatives for proximal caries lesions.

作者信息

Schwendicke Falk, Meyer-Lueckel Hendrik, Stolpe Michael, Dörfer Christof Edmund, Paris Sebastian

机构信息

Department of Operative and Preventive Dentistry, Charité - Universitätsmedizin Berlin, Berlin, Germany.

Department of Operative Dentistry, Periodontology and Preventive Dentistry, RWTH Aachen University, Aachen, Germany.

出版信息

PLoS One. 2014 Jan 27;9(1):e86992. doi: 10.1371/journal.pone.0086992. eCollection 2014.

Abstract

OBJECTIVES

Invasive therapy of proximal caries lesions initiates a cascade of re-treatment cycles with increasing loss of dental hard tissue. Non- and micro-invasive treatment aim at delaying this cascade and may thus reduce both the health and economic burden of such lesions. This study compared the costs and effectiveness of alternative treatments of proximal caries lesions.

METHODS

A Markov-process model was used to simulate the events following the treatment of a proximal posterior lesion (E2/D1) in a 20-year-old patient in Germany. We compared three interventions (non-invasive; micro-invasive using resin infiltration; invasive using composite restoration). We calculated the risk of complications of initial and possible follow-up treatments and modelled time-dependent non-linear transition probabilities. Costs were calculated based on item-fee catalogues in Germany. Monte-Carlo-microsimulations were performed to compare cost-effectiveness of non- versus micro-invasive treatment and to analyse lifetime costs of all three treatments.

RESULTS

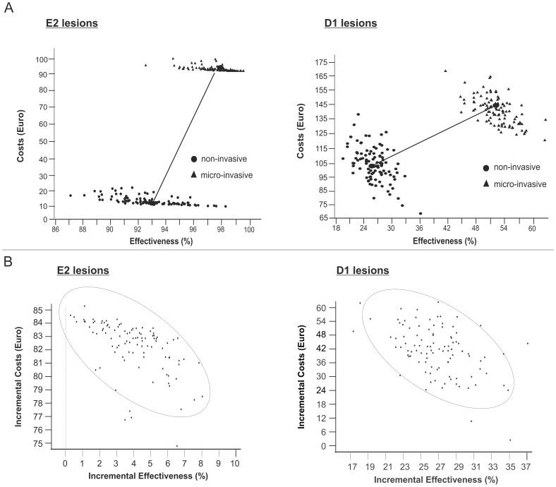
Micro-invasive treatment was both more costly and more effective than non-invasive therapy, with ceiling-value-thresholds for willingness-to-pay between 16.73 € for E2 and 1.57 € for D1 lesions. Invasive treatment was the most costly strategy. Calculated costs and effectiveness were sensitive to lesion stage, patient's age, discounting rate and assumed initial treatment costs.

CONCLUSIONS

Non- and micro-invasive treatments have lower long-term costs than invasive therapy of proximal lesions. Micro-invasive therapy had the highest cost-effectiveness for treating D1 lesions in young patients. Decision makers with a willingness-to-pay over 16.73 € and 1.57 € for E2 and D1 lesions, respectively, will find micro-invasive treatment more cost-effective than non-invasive therapy.

摘要

目的

对邻面龋损进行侵入性治疗会引发一系列再治疗周期,导致牙体硬组织损失增加。非侵入性和微侵入性治疗旨在延缓这一过程,从而可能减轻此类龋损对健康和经济造成的负担。本研究比较了邻面龋损不同治疗方法的成本和效果。

方法

采用马尔可夫过程模型模拟德国一名20岁患者的后牙邻面龋损(E2/D1)治疗后的情况。我们比较了三种干预措施(非侵入性;使用树脂渗透的微侵入性;使用复合树脂修复的侵入性)。我们计算了初始治疗及可能的后续治疗的并发症风险,并对随时间变化的非线性转移概率进行建模。成本根据德国的项目收费目录计算。进行蒙特卡洛微观模拟以比较非侵入性和微侵入性治疗的成本效益,并分析所有三种治疗方法的终身成本。

结果

微侵入性治疗比非侵入性治疗成本更高但效果更好,对于E2病变,支付意愿的上限阈值为16.73欧元,对于D1病变为1.57欧元。侵入性治疗是成本最高的策略。计算得出的成本和效果对龋损阶段、患者年龄、贴现率以及假定的初始治疗成本敏感。

结论

非侵入性和微侵入性治疗的长期成本低于邻面龋损的侵入性治疗。微侵入性治疗对于年轻患者的D1病变具有最高的成本效益。对于E2和D1病变支付意愿分别超过16.73欧元和1.57欧元的决策者,会发现微侵入性治疗比非侵入性治疗更具成本效益。

https://cdn.ncbi.nlm.nih.gov/pmc/blobs/c164/3903601/0f7777a0cb55/pone.0086992.g001.jpg

文献AI研究员

20分钟写一篇综述,助力文献阅读效率提升50倍。

立即体验

用中文搜PubMed

大模型驱动的PubMed中文搜索引擎

马上搜索

文档翻译

学术文献翻译模型,支持多种主流文档格式。

立即体验