Suppr超能文献

基于核磁共振波谱的生物标志物分析预测全因死亡率:对 17345 人的观察性研究。

Biomarker profiling by nuclear magnetic resonance spectroscopy for the prediction of all-cause mortality: an observational study of 17,345 persons.

机构信息

The Estonian Genome Center, University of Tartu, Tartu, Estonia.

Institute for Molecular Medicine Finland, University of Helsinki, Helsinki, Finland ; Department of Chronic Disease Prevention, National Institute for Health and Welfare, Helsinki, Finland ; Computational Medicine, Institute of Health Sciences, University of Oulu and Oulu University Hospital, Oulu, Finland.

出版信息

PLoS Med. 2014 Feb 25;11(2):e1001606. doi: 10.1371/journal.pmed.1001606. eCollection 2014 Feb.

Abstract

BACKGROUND

Early identification of ambulatory persons at high short-term risk of death could benefit targeted prevention. To identify biomarkers for all-cause mortality and enhance risk prediction, we conducted high-throughput profiling of blood specimens in two large population-based cohorts.

METHODS AND FINDINGS

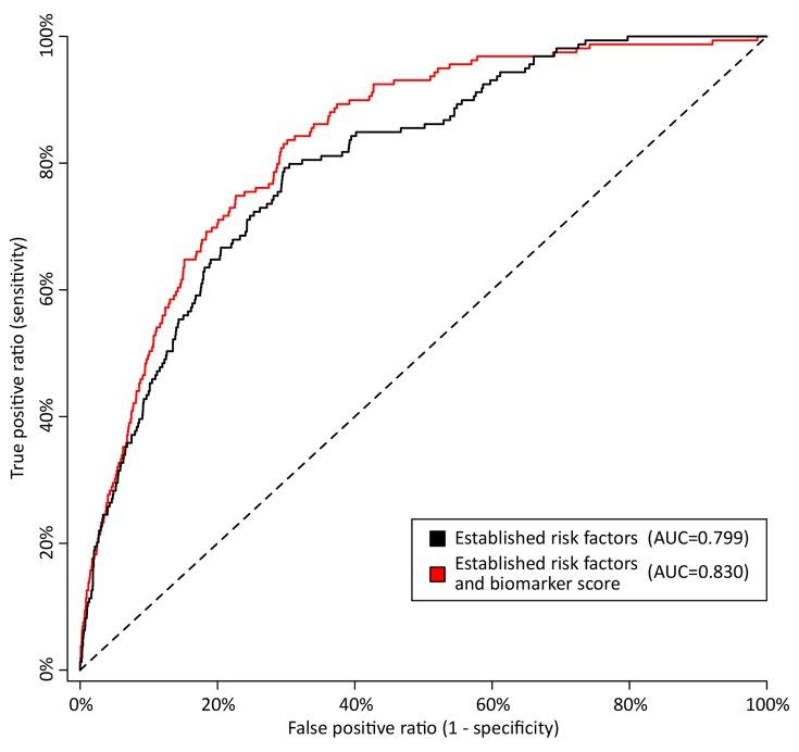
106 candidate biomarkers were quantified by nuclear magnetic resonance spectroscopy of non-fasting plasma samples from a random subset of the Estonian Biobank (n = 9,842; age range 18-103 y; 508 deaths during a median of 5.4 y of follow-up). Biomarkers for all-cause mortality were examined using stepwise proportional hazards models. Significant biomarkers were validated and incremental predictive utility assessed in a population-based cohort from Finland (n = 7,503; 176 deaths during 5 y of follow-up). Four circulating biomarkers predicted the risk of all-cause mortality among participants from the Estonian Biobank after adjusting for conventional risk factors: alpha-1-acid glycoprotein (hazard ratio [HR] 1.67 per 1-standard deviation increment, 95% CI 1.53-1.82, p = 5×10⁻³¹), albumin (HR 0.70, 95% CI 0.65-0.76, p = 2×10⁻¹⁸), very-low-density lipoprotein particle size (HR 0.69, 95% CI 0.62-0.77, p = 3×10⁻¹²), and citrate (HR 1.33, 95% CI 1.21-1.45, p = 5×10⁻¹⁰). All four biomarkers were predictive of cardiovascular mortality, as well as death from cancer and other nonvascular diseases. One in five participants in the Estonian Biobank cohort with a biomarker summary score within the highest percentile died during the first year of follow-up, indicating prominent systemic reflections of frailty. The biomarker associations all replicated in the Finnish validation cohort. Including the four biomarkers in a risk prediction score improved risk assessment for 5-y mortality (increase in C-statistics 0.031, p = 0.01; continuous reclassification improvement 26.3%, p = 0.001).

CONCLUSIONS

Biomarker associations with cardiovascular, nonvascular, and cancer mortality suggest novel systemic connectivities across seemingly disparate morbidities. The biomarker profiling improved prediction of the short-term risk of death from all causes above established risk factors. Further investigations are needed to clarify the biological mechanisms and the utility of these biomarkers for guiding screening and prevention.

摘要

背景

早期识别有高短期死亡风险的门诊患者可能有利于有针对性的预防。为了确定全因死亡率的生物标志物并增强风险预测,我们对两个大型基于人群的队列的非禁食血浆样本进行了高通量分析。

方法和发现

通过对爱沙尼亚生物库的随机亚组(n = 9842;年龄范围 18-103 岁;中位随访 5.4 年期间 508 例死亡)的非空腹血浆样本进行核磁共振波谱分析,定量了 106 个候选生物标志物。使用逐步比例风险模型检查全因死亡率的生物标志物。在芬兰的一个基于人群的队列中验证并评估了有意义的生物标志物(n = 7503;中位随访 5 年期间 176 例死亡)。在调整了传统危险因素后,四个循环生物标志物预测了爱沙尼亚生物库参与者的全因死亡率:α-1-酸性糖蛋白(每标准偏差增加 1.67 的危险比[HR],95%CI 1.53-1.82,p = 5×10⁻³¹)、白蛋白(HR 0.70,95%CI 0.65-0.76,p = 2×10⁻¹⁸)、极低密度脂蛋白颗粒大小(HR 0.69,95%CI 0.62-0.77,p = 3×10⁻¹²)和柠檬酸(HR 1.33,95%CI 1.21-1.45,p = 5×10⁻¹⁰)。所有四个生物标志物均能预测心血管死亡率,以及癌症和其他非血管疾病的死亡率。爱沙尼亚生物库队列中五分之一的参与者在随访的第一年就因生物标志物汇总评分处于最高百分位而死亡,表明脆弱性在全身系统中有明显反映。生物标志物相关性在芬兰验证队列中均得到复制。在风险预测评分中加入这四个生物标志物可改善 5 年死亡率的风险评估(C 统计量增加 0.031,p = 0.01;连续重新分类改善 26.3%,p = 0.001)。

结论

与心血管、非血管和癌症死亡率相关的生物标志物表明,不同的病态之间存在新的系统性联系。生物标志物分析提高了对所有原因导致的短期死亡风险的预测,超过了既定的危险因素。需要进一步研究以阐明这些生物标志物的生物学机制及其用于指导筛查和预防的实用性。

https://cdn.ncbi.nlm.nih.gov/pmc/blobs/9028/3934819/a0c85d604dec/pmed.1001606.g001.jpg

文献AI研究员

20分钟写一篇综述,助力文献阅读效率提升50倍。

立即体验

用中文搜PubMed

大模型驱动的PubMed中文搜索引擎

马上搜索

文档翻译

学术文献翻译模型,支持多种主流文档格式。

立即体验