Suppr超能文献

CMT:一种用于ChIP-Seq数据分析的约束多阈值方法。

CMT: a constrained multi-level thresholding approach for ChIP-Seq data analysis.

作者信息

Rezaeian Iman, Rueda Luis

机构信息

School of Computer Science, University of Windsor, Windsor, Ontario, Canada.

出版信息

PLoS One. 2014 Apr 15;9(4):e93873. doi: 10.1371/journal.pone.0093873. eCollection 2014.

Abstract

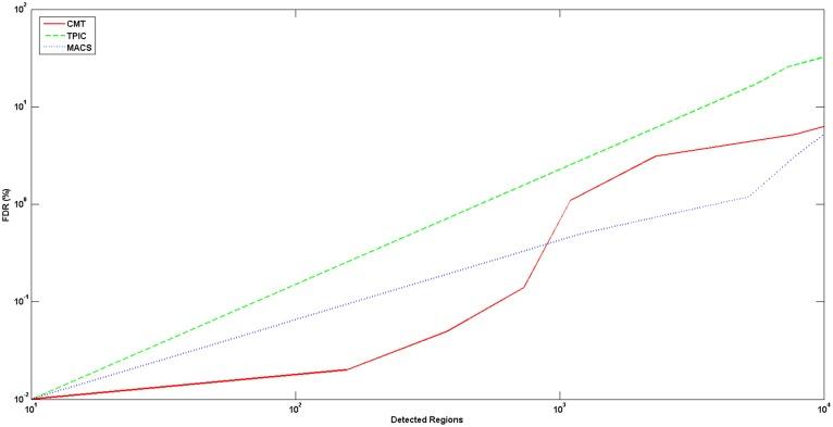
Genome-wide profiling of DNA-binding proteins using ChIP-Seq has emerged as an alternative to ChIP-chip methods. ChIP-Seq technology offers many advantages over ChIP-chip arrays, including but not limited to less noise, higher resolution, and more coverage. Several algorithms have been developed to take advantage of these abilities and find enriched regions by analyzing ChIP-Seq data. However, the complexity of analyzing various patterns of ChIP-Seq signals still needs the development of new algorithms. Most current algorithms use various heuristics to detect regions accurately. However, despite how many formulations are available, it is still difficult to accurately determine individual peaks corresponding to each binding event. We developed Constrained Multi-level Thresholding (CMT), an algorithm used to detect enriched regions on ChIP-Seq data. CMT employs a constraint-based module that can target regions within a specific range. We show that CMT has higher accuracy in detecting enriched regions (peaks) by objectively assessing its performance relative to other previously proposed peak finders. This is shown by testing three algorithms on the well-known FoxA1 Data set, four transcription factors (with a total of six antibodies) for Drosophila melanogaster and the H3K4ac antibody dataset.

摘要

使用ChIP-Seq对DNA结合蛋白进行全基因组分析已成为ChIP芯片方法的一种替代方法。ChIP-Seq技术相对于ChIP芯片阵列具有许多优势,包括但不限于噪声更低、分辨率更高和覆盖范围更广。已经开发了几种算法来利用这些能力,并通过分析ChIP-Seq数据找到富集区域。然而,分析ChIP-Seq信号的各种模式的复杂性仍然需要开发新的算法。目前大多数算法使用各种启发式方法来准确检测区域。然而,尽管有多种公式可用,但仍然难以准确确定与每个结合事件相对应的单个峰。我们开发了约束多级阈值法(CMT),这是一种用于检测ChIP-Seq数据中富集区域的算法。CMT采用基于约束的模块,该模块可以针对特定范围内的区域。我们通过客观评估CMT相对于其他先前提出的峰查找器的性能,表明CMT在检测富集区域(峰)方面具有更高的准确性。这通过在著名的FoxA1数据集、果蝇的四种转录因子(共六种抗体)和H3K4ac抗体数据集上测试三种算法得到了证明。

https://cdn.ncbi.nlm.nih.gov/pmc/blobs/dd9f/3988018/3cb59bc3476e/pone.0093873.g001.jpg

文献AI研究员

20分钟写一篇综述,助力文献阅读效率提升50倍。

立即体验

用中文搜PubMed

大模型驱动的PubMed中文搜索引擎

马上搜索

文档翻译

学术文献翻译模型,支持多种主流文档格式。

立即体验