Suppr超能文献

囊性纤维化中的新兴细菌:可变氧条件下的体外生物膜形成与恢复力

Emergent bacteria in cystic fibrosis: in vitro biofilm formation and resilience under variable oxygen conditions.

作者信息

Lopes Susana P, Azevedo Nuno F, Pereira Maria O

机构信息

Institute for Biotechnology and Bioengineering (IBB), Centre for Biological Engineering, Universidade do Minho, Campus de Gualtar, 4710-057 Braga, Portugal.

LEPAE, Department of Chemical Engineering, Faculty of Engineering, University of Porto, 4200-465 Porto, Portugal.

出版信息

Biomed Res Int. 2014;2014:678301. doi: 10.1155/2014/678301. Epub 2014 Apr 29.

Abstract

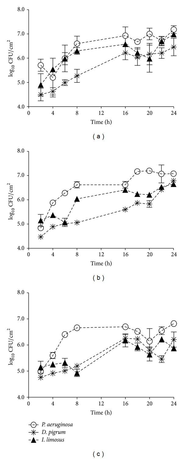
Concurrent to conventional bacterial pathogens, unusual microbes are emerging from cystic fibrosis (CF) airways. Nonetheless, little is known about the contribution of these newly microbes to the resilience of CF-associated biofilms, particularly under variable-oxygen concentrations that are known to occur in vivo in the mucus of CF patients. Two CF-emergent bacterial species, Inquilinus limosus and Dolosigranulum pigrum, and the major pathogen Pseudomonas aeruginosa were studied in terms of biofilm development and antibiotic susceptibilities under in vitro atmospheres with different oxygen availabilities. All species were able to develop in vitro biofilms under different oxygen-available environments, with D. pigrum accumulating high amounts of biomass and respiratory activities. When established, biofilms were of difficult eradication, with antibiotics losing their effectiveness in comparison with the corresponding planktonic populations. Surprisingly, biofilms of each emergent organism displayed multidrug resistance under aerobic environments, enduring even in low-oxygen atmospheres. This study suggests a potential prospect on the impact of nonconventional organisms I. limosus and D. pigrum on CF lung infections, demonstrating capacity to adapt to biofilm mode of life under restricted-oxygen atmospheres resembling CF airways, which may ultimately endanger the efficacy of currently used antibiotic regimens.

摘要

与传统细菌病原体同时出现的是,囊性纤维化(CF)气道中出现了一些不常见的微生物。然而,对于这些新出现的微生物对CF相关生物膜弹性的贡献知之甚少,尤其是在CF患者黏液中已知会出现的可变氧浓度条件下。研究了两种在CF中出现的细菌物种,即栖居嗜泥杆菌和嗜黏性颗粒菌,以及主要病原体铜绿假单胞菌在不同氧气可用性的体外环境下的生物膜形成和抗生素敏感性。所有物种都能够在不同的氧气可利用环境下形成体外生物膜,嗜黏性颗粒菌积累了大量的生物量和呼吸活性。生物膜形成后很难根除,与相应的浮游菌群体相比,抗生素失去了效力。令人惊讶的是,每种新出现的生物体的生物膜在有氧环境下都表现出多重耐药性,即使在低氧环境中也能持续存在。这项研究表明了非传统生物体栖居嗜泥杆菌和嗜黏性颗粒菌对CF肺部感染影响的潜在前景,证明了它们在类似于CF气道的低氧环境下适应生物膜生活方式的能力,这最终可能危及目前使用的抗生素治疗方案的疗效。

https://cdn.ncbi.nlm.nih.gov/pmc/blobs/3eba/4020565/10e3b0ce7034/BMRI2014-678301.001.jpg

文献AI研究员

20分钟写一篇综述,助力文献阅读效率提升50倍。

立即体验

用中文搜PubMed

大模型驱动的PubMed中文搜索引擎

马上搜索

文档翻译

学术文献翻译模型,支持多种主流文档格式。

立即体验