Suppr超能文献

SlNCED1和SlCYP707A2:番茄果实成熟过程中参与脱落酸代谢的关键基因。

SlNCED1 and SlCYP707A2: key genes involved in ABA metabolism during tomato fruit ripening.

作者信息

Ji Kai, Kai Wenbin, Zhao Bo, Sun Yufei, Yuan Bing, Dai Shengjie, Li Qian, Chen Pei, Wang Ya, Pei Yuelin, Wang Hongqing, Guo Yangdong, Leng Ping

机构信息

College of Agronomy and Biotechnology, China Agricultural University, Beijing 100193, PR China.

Department of Chemistry and Biochemistry, University of Arizona, 1306 East University BouleVard, Tucson, USA.

出版信息

J Exp Bot. 2014 Oct;65(18):5243-55. doi: 10.1093/jxb/eru288. Epub 2014 Jul 19.

Abstract

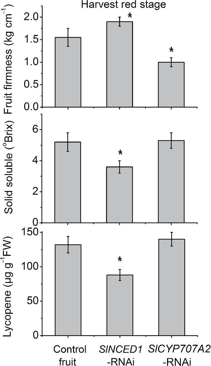
Abscisic acid (ABA) plays an important role in fruit development and ripening. Here, three NCED genes encoding 9-cis-epoxycarotenoid dioxygenase (NCED, a key enzyme in the ABA biosynthetic pathway) and three CYP707A genes encoding ABA 8'-hydroxylase (a key enzyme in the oxidative catabolism of ABA) were identified in tomato fruit by tobacco rattle virus-induced gene silencing (VIGS). Quantitative real-time PCR showed that VIGS-treated tomato fruits had significant reductions in target gene transcripts. In SlNCED1-RNAi-treated fruits, ripening slowed down, and the entire fruit turned to orange instead of red as in the control. In comparison, the downregulation of SlCYP707A2 expression in SlCYP707A2-silenced fruit could promote ripening; for example, colouring was quicker than in the control. Silencing SlNCED2/3 or SlCYP707A1/3 made no significant difference to fruit ripening comparing RNAi-treated fruits with control fruits. ABA accumulation and SlNCED1transcript levels in the SlNCED1-RNAi-treated fruit were downregulated to 21% and 19% of those in control fruit, respectively, but upregulated in SlCYP707A2-RNAi-treated fruit. Silencing SlNCED1 or SlCYP707A2 by VIGS significantly altered the transcripts of a set of both ABA-responsive and ripening-related genes, including ABA-signalling genes (PYL1, PP2C1, and SnRK2.2), lycopene-synthesis genes (SlBcyc, SlPSY1 and SlPDS), and cell wall-degrading genes (SlPG1, SlEXP, and SlXET) during ripening. These data indicate that SlNCED1 and SlCYP707A2 are key genes in the regulation of ABA synthesis and catabolism, and are involved in fruit ripening as positive and negative regulators, respectively.

摘要

脱落酸(ABA)在果实发育和成熟过程中起着重要作用。在此,通过烟草脆裂病毒诱导的基因沉默(VIGS)在番茄果实中鉴定出了三个编码9-顺式环氧类胡萝卜素双加氧酶(NCED,ABA生物合成途径中的关键酶)的NCED基因和三个编码ABA 8'-羟化酶(ABA氧化分解代谢中的关键酶)的CYP707A基因。实时定量PCR显示,VIGS处理的番茄果实中靶基因转录本显著减少。在SlNCED1-RNAi处理的果实中,成熟减缓,整个果实变为橙色而非对照中的红色。相比之下,SlCYP707A2基因沉默的果实中SlCYP707A2表达下调可促进成熟;例如,其着色比对照更快。与对照果实相比,沉默SlNCED2/3或SlCYP707A1/3对果实成熟没有显著差异。SlNCED1-RNAi处理的果实中ABA积累和SlNCED1转录水平分别下调至对照果实的21%和19%,但在SlCYP707A2-RNAi处理的果实中上调。通过VIGS沉默SlNCED1或SlCYP707A2显著改变了一组ABA响应和成熟相关基因的转录本,包括ABA信号基因(PYL1、PP2C1和SnRK2.2)、番茄红素合成基因(SlBcyc、SlPSY1和SlPDS)以及细胞壁降解基因(SlPG1、SlEXP和SlXET)在成熟过程中的表达。这些数据表明,SlNCED1和SlCYP707A2是调控ABA合成和分解代谢的关键基因,分别作为正调控因子和负调控因子参与果实成熟。

https://cdn.ncbi.nlm.nih.gov/pmc/blobs/232a/4157709/5e57959edb70/exbotj_eru288_f0001.jpg

文献AI研究员

20分钟写一篇综述,助力文献阅读效率提升50倍。

立即体验

用中文搜PubMed

大模型驱动的PubMed中文搜索引擎

马上搜索

文档翻译

学术文献翻译模型,支持多种主流文档格式。

立即体验