Suppr超能文献

血浆中长链非编码RNA POU3F3作为诊断食管鳞状细胞癌的新型生物标志物的鉴定。

Identification of the long non-coding RNA POU3F3 in plasma as a novel biomarker for diagnosis of esophageal squamous cell carcinoma.

作者信息

Tong Yu-Suo, Wang Xiao-Wei, Zhou Xi-Lei, Liu Zi-Hao, Yang Tong-Xin, Shi Wei-Hong, Xie Hai-Wei, Lv Jin, Wu Qing-Quan, Cao Xiu-Feng

机构信息

Department of Surgical Oncology, Nanjing Frist Hospital, Nanjing Medical University, Nanjing, Jiangsu, China.

Department of Medical Oncology, Huai'an First People's Hospital Affiliated to Nanjing Medical University, Huai'an, Jiangsu, China.

出版信息

Mol Cancer. 2015 Jan 21;14:3. doi: 10.1186/1476-4598-14-3.

Abstract

BACKGROUND

Recent studies have demonstrated that long non-coding RNAs (lncRNAs) were present in the blood of cancer patients and have shown great potential as powerful and non-invasive tumor markers. However, little is known about the value of lncRNAs in the diagnosis of esophageal squamous cell carcinoma (ESCC). We hypothesized that ESCC-related lncRNAs might be released into the circulation during tumor initiation and could be utilized to detect and monitor ESCC.

METHODS

Ten lncRNAs (HOTAIR, AFAP1-AS1, POU3F3, HNF1A-AS1, 91H, PlncRNA1, SPRY4-IT1, ENST00000435885.1, XLOC_013104 and ENST00000547963.1) which previously found to be differently expressed in esophageal cancer were selected as candidate targets for subsequent circulating lncRNA assay. A four-stage exploratory study was conducted to test the hypothesis: (1) optimization of detected method to accurately and reproducibly measure ESCC-related lncRNAs in plasma and serum; (2) evaluation of the stability of circulating lncRNAs in human plasma or serum; (3) exploration the origin of ESCC-related lncRNAs in vitro and in vivo; (4) evaluation the diagnostic power of circulating lncRNAs for ESCC.

RESULTS

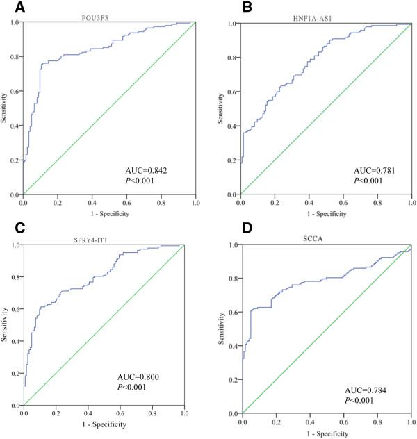
ESCC-related lncRNAs were detectable and stable in plasma of cancer patients, and derived largely from ESCC tumor cells. Furthermore, plasma levels of POU3F3, HNF1A-AS1 and SPRY4-IT1 were significantly higher in ESCC patients compared with normal controls. By receiver operating characteristic curve (ROC) analysis, among the three lncRNAs investigated, plasma POU3F3 provided the highest diagnostic performance for detection of ESCC (the area under the ROC curve (AUC), 0.842; p < 0.001; sensitivity, 72.8%; specificity, 89.4%). Moreover, use of POU3F3 and SCCA in combination could provide a more effective diagnosis performance (AUC, 0.926, p < 0.001, sensitivity, 85.7%; specificity, 81.4%). Most importantly, this combination was effective to detect ESCC at an early stage (80.8%).

CONCLUSIONS

Plasma POU3F3 could serve as a potential biomarker for diagnosis of ESCC, and the combination of POU3F3 and SCCA was more efficient for ESCC detection, in particular for early tumor screening.

摘要

背景

最近的研究表明,癌症患者血液中存在长链非编码RNA(lncRNA),并且已显示出作为强大的非侵入性肿瘤标志物的巨大潜力。然而,关于lncRNA在食管鳞状细胞癌(ESCC)诊断中的价值知之甚少。我们推测,ESCC相关的lncRNA可能在肿瘤发生过程中释放到循环系统中,可用于检测和监测ESCC。

方法

选择先前发现的在食管癌中差异表达的10种lncRNA(HOTAIR、AFAP1-AS1、POU3F3、HNF1A-AS1、91H、PlncRNA1、SPRY4-IT1、ENST00000435885.1、XLOC_013104和ENST00000547963.1)作为后续循环lncRNA检测的候选靶点。进行了一项四阶段探索性研究来验证该假设:(1)优化检测方法,以准确、可重复地测量血浆和血清中ESCC相关的lncRNA;(2)评估循环lncRNA在人血浆或血清中的稳定性;(3)在体外和体内探索ESCC相关lncRNA的来源;(4)评估循环lncRNA对ESCC的诊断能力。

结果

ESCC相关的lncRNA在癌症患者血浆中可检测到且稳定,并且主要来源于ESCC肿瘤细胞。此外,与正常对照组相比,ESCC患者血浆中POU3F3、HNF1A-AS1和SPRY4-IT1的水平显著更高。通过受试者工作特征曲线(ROC)分析,在所研究的三种lncRNA中,血浆POU3F3对ESCC检测的诊断性能最高(ROC曲线下面积(AUC)为0.842;p < 0.001;灵敏度为72.8%;特异性为89.4%)。此外,联合使用POU3F3和SCCA可提供更有效的诊断性能(AUC为0.926,p < 0.001,灵敏度为85.7%;特异性为81.4%)。最重要的是,这种联合检测在早期检测ESCC方面是有效的(80.8%)。

结论

血浆POU3F3可作为ESCC诊断的潜在生物标志物,并且POU3F3和SCCA联合检测对ESCC检测更有效,特别是对于早期肿瘤筛查。

https://cdn.ncbi.nlm.nih.gov/pmc/blobs/da11/4631113/ee2e905e235c/12943_2014_1498_Fig1_HTML.jpg

文献AI研究员

20分钟写一篇综述,助力文献阅读效率提升50倍。

立即体验

用中文搜PubMed

大模型驱动的PubMed中文搜索引擎

马上搜索

文档翻译

学术文献翻译模型,支持多种主流文档格式。

立即体验