Suppr超能文献

骨髓和外周血中 IL-10 和 ARG-1 浓度与转移性神经母细胞瘤患者的临床结局无关。

IL-10 and ARG-1 concentrations in bone marrow and peripheral blood of metastatic neuroblastoma patients do not associate with clinical outcome.

机构信息

Laboratorio di Oncologia IRCCS Istituto Giannina Gaslini, 16148 Genova, Italy.

Laboratorio di Bioterapia, IRCCS AOU San Martino-Istituto Nazionale per la Ricerca sul Cancro, 16132 Genova, Italy.

出版信息

J Immunol Res. 2015;2015:718975. doi: 10.1155/2015/718975. Epub 2015 Apr 19.

Abstract

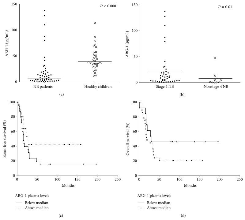
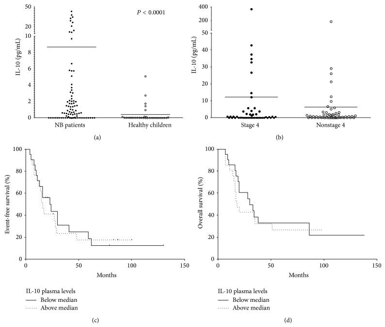
The expression of the immunosuppressive molecules IL-10 and arginase 1 (ARG-1), and of FOXP3 and CD163, as markers of regulatory T cells (Treg) and macrophages, respectively, was evaluated in bone marrow (BM) and peripheral blood (PB) samples collected at diagnosis from patients with metastatic neuroblastoma (NB). IL-10 and ARG-1 plasma concentrations were measured and the association of each parameter with patients' outcome was tested. The percentages of immunosuppressive Treg and type-1 regulatory (Tr1) cells were also determined. In both BM and PB samples, IL-10 mRNA expression was higher in metastatic NB patients than in controls. IL-10 plasma concentration was higher in patients with NB regardless of stage. Neither IL-10 expression nor IL-10 plasma concentration significantly associated with patient survival. In PB samples from metastatic NB patients, ARG-1 and CD163 expression was higher than in controls but their expression did not associate with survival. Moreover, ARG-1 plasma concentration was lower than in controls, and no association with patient outcome was found. Finally, in metastatic NB patients, the percentage of circulating Treg was higher than in controls, whereas that of Tr1 cells was lower. In conclusion, although IL-10 concentration and Treg percentage were increased, their contribution to the natural history of metastatic NB appears uncertain.

摘要

在诊断时收集转移性神经母细胞瘤 (NB) 患者的骨髓 (BM) 和外周血 (PB) 样本,评估免疫抑制分子白细胞介素 10 (IL-10) 和精氨酸酶 1 (ARG-1) 的表达,分别作为调节性 T 细胞 (Treg) 和巨噬细胞的标志物。测量 IL-10 和 ARG-1 血浆浓度,并测试每个参数与患者预后的关系。还确定了免疫抑制性 Treg 和 1 型调节性 (Tr1) 细胞的百分比。在 BM 和 PB 样本中,转移性 NB 患者的 IL-10 mRNA 表达高于对照组。无论分期如何,NB 患者的 IL-10 血浆浓度均较高。IL-10 表达或 IL-10 血浆浓度均与患者生存无显著相关性。在转移性 NB 患者的 PB 样本中,ARG-1 和 CD163 的表达高于对照组,但与生存无关。此外,ARG-1 血浆浓度低于对照组,与患者预后无关联。最后,在转移性 NB 患者中,循环 Treg 的百分比高于对照组,而 Tr1 细胞的百分比则较低。总之,尽管 IL-10 浓度和 Treg 百分比增加,但它们对转移性 NB 自然史的贡献似乎不确定。

https://cdn.ncbi.nlm.nih.gov/pmc/blobs/8e8d/4417583/677233909e6a/JIR2015-718975.001.jpg

文献AI研究员

20分钟写一篇综述,助力文献阅读效率提升50倍。

立即体验

用中文搜PubMed

大模型驱动的PubMed中文搜索引擎

马上搜索

文档翻译

学术文献翻译模型,支持多种主流文档格式。

立即体验