Suppr超能文献

心脏细胞生物能量学的调节:机制与后果

Regulation of cardiac cellular bioenergetics: mechanisms and consequences.

作者信息

Tran Kenneth, Loiselle Denis S, Crampin Edmund J

机构信息

Auckland Bioengineering Institute, University of Auckland, Auckland, New Zealand.

Auckland Bioengineering Institute, University of Auckland, Auckland, New Zealand Department of Physiology, University of Auckland, Auckland, New Zealand.

出版信息

Physiol Rep. 2015 Jul;3(7). doi: 10.14814/phy2.12464.

Abstract

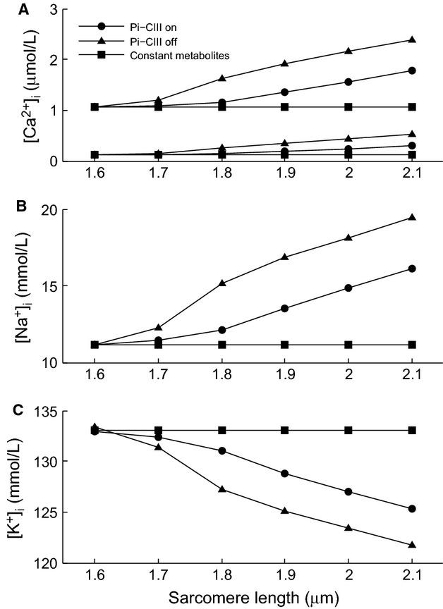
The regulation of cardiac cellular bioenergetics is critical for maintaining normal cell function, yet the nature of this regulation is not fully understood. Different mechanisms have been proposed to explain how mitochondrial ATP production is regulated to match changing cellular energy demand while metabolite concentrations are maintained. We have developed an integrated mathematical model of cardiac cellular bioenergetics, electrophysiology, and mechanics to test whether stimulation of the dehydrogenase flux by Ca(2+) or Pi, or stimulation of complex III by Pi can increase the rate of mitochondrial ATP production above that determined by substrate availability (ADP and Pi). Using the model, we show that, under physiological conditions the rate of mitochondrial ATP production can match varying demand through substrate availability alone; that ATP production rate is not limited by the supply of reducing equivalents in the form of NADH, as a result of Ca(2+) or Pi activation of the dehydrogenases; and that ATP production rate is sensitive to feedback activation of complex III by Pi. We then investigate the mechanistic implications on cytosolic ion homeostasis and force production by simulating the concentrations of cytosolic Ca(2+), Na(+) and K(+), and activity of the key ATPases, SERCA pump, Na(+)/K(+) pump and actin-myosin ATPase, in response to increasing cellular energy demand. We find that feedback regulation of mitochondrial complex III by Pi improves the coupling between energy demand and mitochondrial ATP production and stabilizes cytosolic ADP and Pi concentrations. This subsequently leads to stabilized cytosolic ionic concentrations and consequentially reduced energetic cost from cellular ATPases.

摘要

心脏细胞生物能量学的调节对于维持正常细胞功能至关重要,但其调节本质尚未完全明确。人们提出了不同机制来解释线粒体ATP生成如何被调节以匹配不断变化的细胞能量需求,同时维持代谢物浓度。我们构建了一个整合的心脏细胞生物能量学、电生理学和力学数学模型,以测试Ca(2+)或Pi对脱氢酶通量的刺激,或Pi对复合物III的刺激是否能使线粒体ATP生成速率高于由底物可用性(ADP和Pi)所决定的速率。利用该模型,我们表明,在生理条件下,线粒体ATP生成速率仅通过底物可用性就能匹配不同的需求;由于脱氢酶被Ca(2+)或Pi激活,ATP生成速率不受NADH形式的还原当量供应限制;并且ATP生成速率对Pi对复合物III的反馈激活敏感。然后,我们通过模拟细胞质Ca(2+)、Na(+)和K(+)的浓度以及关键ATP酶、肌浆网Ca(2+) -ATP酶、Na(+)/K(+) -ATP酶和肌动蛋白-肌球蛋白ATP酶的活性,来研究对细胞质离子稳态和力产生机制的影响,以应对不断增加的细胞能量需求。我们发现,Pi对线粒体复合物III的反馈调节改善了能量需求与线粒体ATP生成之间的耦合,并稳定了细胞质ADP和Pi浓度。这随后导致细胞质离子浓度稳定,并相应降低了细胞ATP酶的能量消耗。

https://cdn.ncbi.nlm.nih.gov/pmc/blobs/f3dc/4552539/6fde97aecbdf/phy20003-e12464-f1.jpg

文献AI研究员

20分钟写一篇综述,助力文献阅读效率提升50倍。

立即体验

用中文搜PubMed

大模型驱动的PubMed中文搜索引擎

马上搜索

文档翻译

学术文献翻译模型,支持多种主流文档格式。

立即体验