Suppr超能文献

关于储存和处理用于昆虫微生物群分析的标本的循证建议。

Evidence-based recommendations on storing and handling specimens for analyses of insect microbiota.

作者信息

Hammer Tobin J, Dickerson Jacob C, Fierer Noah

机构信息

Department of Ecology and Evolutionary Biology, University of Colorado at Boulder , Boulder, CO , United States ; Cooperative Institute for Research in Environmental Sciences, University of Colorado at Boulder , Boulder, CO , United States.

Department of Ecology and Evolutionary Biology, University of Colorado at Boulder , Boulder, CO , United States.

出版信息

PeerJ. 2015 Aug 18;3:e1190. doi: 10.7717/peerj.1190. eCollection 2015.

Abstract

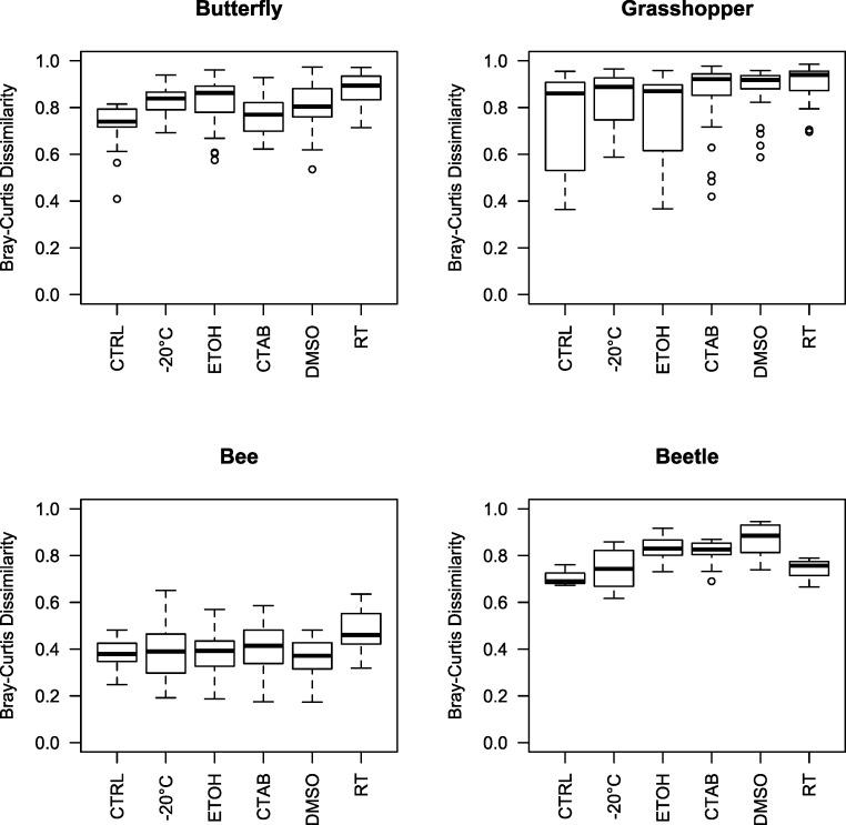
Research on insect microbiota has greatly expanded over the past decade, along with a growing appreciation of the microbial contributions to insect ecology and evolution. Many of these studies use DNA sequencing to characterize the diversity and composition of insect-associated microbial communities. The choice of strategies used for specimen collection, storage, and handling could introduce biases in molecular assessments of insect microbiota, but such potential influences have not been systematically evaluated. Likewise, although it is common practice to surface sterilize insects prior to DNA extraction, it is not known if this time-consuming step has any effect on microbial community analyses. To resolve these methodological unknowns, we conducted an experiment wherein replicate individual insects of four species were stored intact for two months using five different methods-freezing, ethanol, dimethyl sulfoxide (DMSO), cetrimonium bromide (CTAB), and room-temperature storage without preservative-and then subjected to whole-specimen 16S rRNA gene sequencing to assess whether the structure of the insect-associated bacterial communities was impacted by these different storage strategies. Overall, different insect species harbored markedly distinct bacterial communities, a pattern that was highly robust to the method used to store samples. Storage method had little to no effect on assessments of microbiota composition, and the magnitude of the effect differed among the insect species examined. No single method emerged as "best," i.e., one consistently having the highest similarity in community structure to control specimens, which were not stored prior to homogenization and DNA sequencing. We also found that surface sterilization did not change bacterial community structure as compared to unsterilized insects, presumably due to the vastly greater microbial biomass inside the insect body relative to its surface. We therefore recommend that researchers can use any of the methods tested here, and base their choice according to practical considerations such as prior use, cost, and availability in the field, although we still advise that all samples within a study be handled in an identical manner when possible. We also suggest that, in large-scale molecular studies of hundreds of insect specimens, surface sterilization may not be worth the time and effort involved. This information should help researchers design sampling strategies and will facilitate cross-comparisons and meta-analyses of microbial community data obtained from insect specimens preserved in different ways.

摘要

在过去十年中,随着人们对微生物在昆虫生态学和进化中的作用认识不断加深,对昆虫微生物群的研究有了极大扩展。许多此类研究使用DNA测序来表征与昆虫相关的微生物群落的多样性和组成。用于标本采集、储存和处理的策略选择可能会在昆虫微生物群的分子评估中引入偏差,但这种潜在影响尚未得到系统评估。同样,尽管在DNA提取前对昆虫进行表面消毒是常见做法,但尚不清楚这一耗时步骤是否会对微生物群落分析产生任何影响。为了解决这些方法上的未知问题,我们进行了一项实验,其中使用五种不同方法(冷冻、乙醇、二甲基亚砜(DMSO)、十六烷基三甲基溴化铵(CTAB)和无防腐剂的室温储存)将四种昆虫的多个个体完整储存两个月,然后对整个标本进行16S rRNA基因测序,以评估这些不同的储存策略是否会影响与昆虫相关的细菌群落结构。总体而言,不同昆虫物种拥有明显不同的细菌群落,这一模式对用于储存样本的方法具有高度稳健性。储存方法对微生物群组成的评估几乎没有影响,且影响程度在所研究的昆虫物种之间有所不同。没有一种方法被证明是“最佳”的,即没有一种方法在群落结构上始终与未储存直接匀浆和DNA测序的对照标本具有最高相似性。我们还发现,与未消毒的昆虫相比,表面消毒并未改变细菌群落结构,可能是因为昆虫体内的微生物生物量相对于其表面要大得多。因此,我们建议研究人员可以使用这里测试的任何一种方法,并根据诸如先前使用情况、成本和现场可用性等实际考虑因素做出选择,不过我们仍然建议在可能的情况下,研究中的所有样本都应以相同方式处理。我们还建议,在对数百个昆虫标本进行大规模分子研究时,表面消毒可能不值得投入时间和精力。这些信息应有助于研究人员设计采样策略,并将促进对以不同方式保存的昆虫标本获得的微生物群落数据进行交叉比较和荟萃分析。

https://cdn.ncbi.nlm.nih.gov/pmc/blobs/3fc8/4548535/5c6cf92636b3/peerj-03-1190-g001.jpg

文献AI研究员

20分钟写一篇综述,助力文献阅读效率提升50倍。

立即体验

用中文搜PubMed

大模型驱动的PubMed中文搜索引擎

马上搜索

文档翻译

学术文献翻译模型,支持多种主流文档格式。

立即体验