Suppr超能文献

膝关节骨关节炎患者关节腔内注射透明质酸后滑液生物标志物的变化及临床疗效

Changes in synovial fluid biomarkers and clinical efficacy of intra-articular injections of hyaluronic acid for patients with knee osteoarthritis.

作者信息

Kusayama Yoshihiro, Akamatsu Yasushi, Kumagai Ken, Kobayashi Hideo, Aratake Masato, Saito Tomoyuki

机构信息

Department of Orthopaedic Surgery, Yokohama City University School of Medicine, 3-9 Fukuura, Yokohama, 236-0004, Kanazawa-ku, Japan.

出版信息

J Exp Orthop. 2014 Dec;1(1):16. doi: 10.1186/s40634-014-0016-7. Epub 2014 Dec 20.

Abstract

BACKGROUND

The changes in synovial fluid biomarkers after intra-articular injection of hyarulonic acid (IA HA) remain controversial. We investigate the changes in the properties of synovial fluid (SF) and clinical symptoms before the first and fifth IA HA.

METHODS

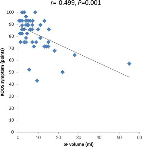
A total of 73 patients (73 knees) with symptomatic knee osteoarthritis were treated with five weekly intra-articular injections of HA and 55 patients (55 knees) were analyzed. The SF total volume, viscosity, and levels of HA, chondroitin 4-sulfate (C4S), chondroitin 6-sulfate (C6S), keratin sulfate, and interleukin (IL)-6 were measured before the first and fifth injections. Clinical evaluations were performed using the American Knee Society score for physician-based outcome measurements and Knee injury and Osteoarthritis Outcome Score for patient-based outcome measurements before the first and fifth injections.

RESULTS

The SF viscosity and levels of HA were significantly increased, and the total SF volume and levels of chondroitin 4-sulfate, chondroitin 6-sulfate, and interleukin-6 were significantly decreased. The physician-based and patient-based outcome scores were improved.

CONCLUSIONS

Our findings speculate that HA injections significantly modulate levels of intra articular biomarkers which may indicate beneficial effect for articular cartilage and synovium membrane.

摘要

背景

关节腔内注射透明质酸(IA HA)后滑液生物标志物的变化仍存在争议。我们研究了首次和第五次IA HA注射前滑液(SF)性质和临床症状的变化。

方法

对73例有症状的膝关节骨关节炎患者(73个膝关节)进行每周一次、共五次的关节腔内HA注射治疗,并对55例患者(55个膝关节)进行分析。在首次和第五次注射前测量SF的总体积、粘度以及HA、硫酸软骨素4(C4S)、硫酸软骨素6(C6S)、硫酸角质素和白细胞介素(IL)-6的水平。在首次和第五次注射前,使用美国膝关节协会评分进行基于医生的结局测量,使用膝关节损伤和骨关节炎结局评分进行基于患者的结局测量,进行临床评估。

结果

SF粘度和HA水平显著升高,SF总体积以及硫酸软骨素4、硫酸软骨素6和白细胞介素-6水平显著降低。基于医生和基于患者的结局评分均有所改善。

结论

我们的研究结果推测,HA注射可显著调节关节内生物标志物的水平,这可能表明对关节软骨和滑膜有有益作用。

https://cdn.ncbi.nlm.nih.gov/pmc/blobs/7932/4546012/cb3b48796eac/40634_2014_16_Fig1_HTML.jpg

文献AI研究员

20分钟写一篇综述,助力文献阅读效率提升50倍。

立即体验

用中文搜PubMed

大模型驱动的PubMed中文搜索引擎

马上搜索

文档翻译

学术文献翻译模型,支持多种主流文档格式。

立即体验