Suppr超能文献

脱落酸对甜樱桃成熟和品质的影响:采前和采后阶段的差异效应

Implication of Abscisic Acid on Ripening and Quality in Sweet Cherries: Differential Effects during Pre- and Post-harvest.

作者信息

Tijero Verónica, Teribia Natalia, Muñoz Paula, Munné-Bosch Sergi

机构信息

Department of Plant Biology, Faculty of Biology, University of Barcelona Barcelona, Spain.

出版信息

Front Plant Sci. 2016 May 4;7:602. doi: 10.3389/fpls.2016.00602. eCollection 2016.

Abstract

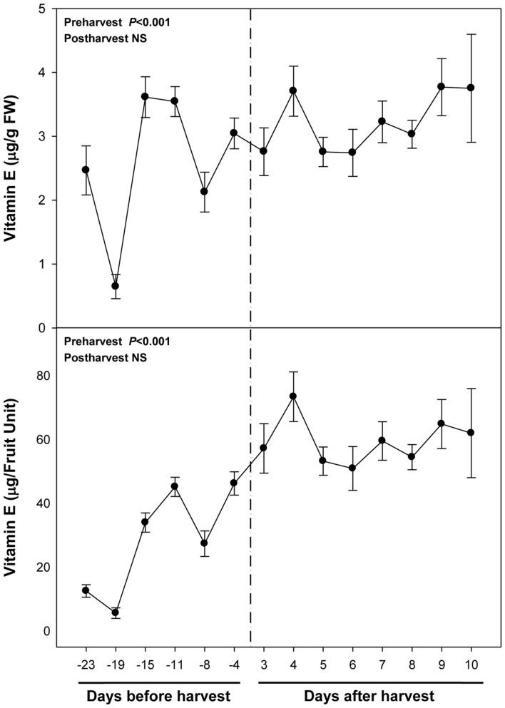
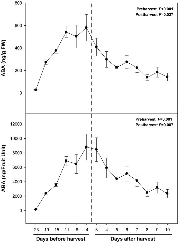
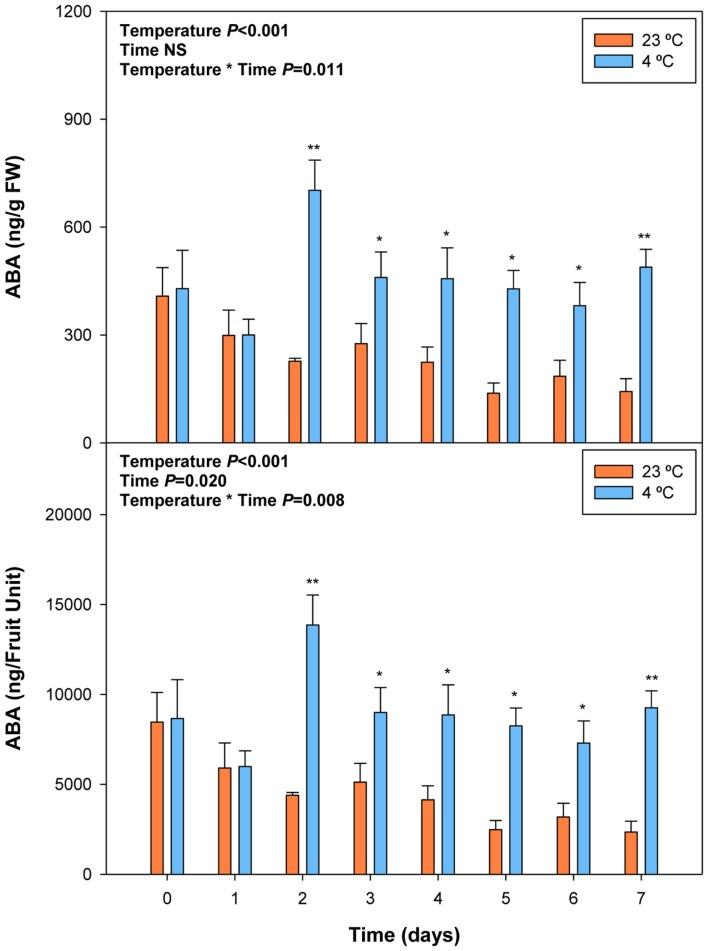
Sweet cherry, a non-climacteric fruit, is usually cold-stored during post-harvest to prevent over-ripening. The aim of the study was to evaluate the role of abscisic acid (ABA) on fruit growth and ripening of this fruit, considering as well its putative implication in over-ripening and effects on quality. We measured the endogenous concentrations of ABA during the ripening of sweet cherries (Prunus avium L. var. Prime Giant) collected from orchard trees and in cherries exposed to 4°C and 23°C during 10 days of post-harvest. Furthermore, we examined to what extent endogenous ABA concentrations were related to quality parameters, such as fruit biomass, anthocyanin accumulation and levels of vitamins C and E. Endogenous concentrations of ABA in fruits increased progressively during fruit growth and ripening on the tree, to decrease later during post-harvest at 23°C. Cold treatment, however, increased ABA levels and led to an inhibition of over-ripening. Furthermore, ABA levels positively correlated with anthocyanin and vitamin E levels during pre-harvest, but not during post-harvest. We conclude that ABA plays a major role in sweet cherry development, stimulating its ripening process and positively influencing quality parameters during pre-harvest. The possible influence of ABA preventing over-ripening in cold-stored sweet cherries is also discussed.

摘要

甜樱桃是一种非跃变型果实,采后通常进行冷藏以防止过度成熟。本研究的目的是评估脱落酸(ABA)在这种果实生长和成熟过程中的作用,并考虑其在过度成熟中的潜在影响以及对品质的作用。我们测定了从果园树木上采摘的甜樱桃(Prunus avium L. var. Prime Giant)在成熟过程中以及采后10天内分别置于4°C和23°C环境下的樱桃中ABA的内源浓度。此外,我们还研究了内源ABA浓度与果实生物量、花青素积累以及维生素C和E含量等品质参数之间的关联程度。果实生长和在树上成熟期间,果实中ABA的内源浓度逐渐增加,而在采后23°C条件下随后降低。然而,冷藏处理增加了ABA水平并抑制了过度成熟。此外,采前ABA水平与花青素和维生素E含量呈正相关,但采后并非如此。我们得出结论,ABA在甜樱桃发育中起主要作用,刺激其成熟过程并在采前对品质参数产生积极影响。同时还讨论了ABA在防止冷藏甜樱桃过度成熟方面的可能影响。

https://cdn.ncbi.nlm.nih.gov/pmc/blobs/7f8d/4855249/36af51816310/fpls-07-00602-g001.jpg

文献AI研究员

20分钟写一篇综述,助力文献阅读效率提升50倍。

立即体验

用中文搜PubMed

大模型驱动的PubMed中文搜索引擎

马上搜索

文档翻译

学术文献翻译模型,支持多种主流文档格式。

立即体验