Suppr超能文献

在特罗姆瑟研究中,对中年及以后的握力与17年随访期间的全因死亡率和特定病因死亡率之间的关联进行研究。

The association of grip strength from midlife onwards with all-cause and cause-specific mortality over 17 years of follow-up in the Tromsø Study.

作者信息

Strand Bjørn Heine, Cooper Rachel, Bergland Astrid, Jørgensen Lone, Schirmer Henrik, Skirbekk Vegard, Emaus Nina

机构信息

Norwegian Institute of Public Health, Oslo, Norway.

Institute of Health and Society, University of Oslo, Oslo, Norway.

出版信息

J Epidemiol Community Health. 2016 Dec;70(12):1214-1221. doi: 10.1136/jech-2015-206776. Epub 2016 May 26.

Abstract

BACKGROUND

Grip strength has consistently been found to predict all-cause mortality rates. However, few studies have examined cause-specific mortality or tested age differences in these associations.

METHODS

In 1994, grip strength was measured in the population-based Tromsø Study, covering the ages 50-80 years (N=6850). Grip strength was categorised into fifths, and as z-scores. In this cohort study, models with all-cause mortality and deaths from specific causes as the outcome were performed, stratified by sex and age using Cox regression, adjusting for lifestyle-related and health-related factors.

RESULTS

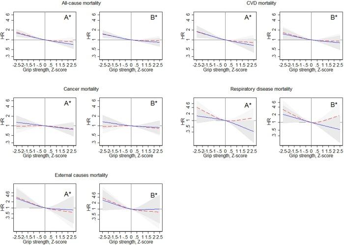
During 17 years of follow-up, 2338 participants died. A 1 SD reduction in grip strength was associated with HR=1.17 (95% CI 1.12 to 1.22) for all-cause mortality in a model adjusted for age, gender and body size. This association was similar across all age groups, in men and women, and robust to adjustment for a range of lifestyle-related and health-related factors. Results for deaths due to cardiovascular disease (CVD), respiratory diseases and external causes resembled those for all-cause mortality, while for cancer, the association was much weaker and not significant after adjustment for lifestyle-related and health-related factors.

CONCLUSIONS

Weaker grip strength was associated with increased all-cause mortality rates, with similar effects on deaths due to CVD, respiratory disease and external causes, while a much weaker association was observed for cancer-related deaths. These associations were similar in both genders and across age groups, which supports the hypothesis that grip strength might be a biomarker of ageing over the lifespan.

摘要

背景

握力一直被发现可预测全因死亡率。然而,很少有研究考察特定病因死亡率或检验这些关联中的年龄差异。

方法

1994年,在基于人群的特罗姆瑟研究中测量了握力,该研究涵盖50 - 80岁人群(N = 6850)。握力被分为五等份,并转换为z分数。在这项队列研究中,以全因死亡率和特定病因死亡作为结局进行模型分析,使用Cox回归按性别和年龄分层,并对与生活方式和健康相关的因素进行调整。

结果

在17年的随访期间,2338名参与者死亡。在调整了年龄、性别和体型的模型中,握力每降低1个标准差与全因死亡率的风险比(HR)为1.17(95%置信区间1.12至1.22)相关。这种关联在所有年龄组、男性和女性中都相似,并且在对一系列与生活方式和健康相关的因素进行调整后仍然稳健。心血管疾病(CVD)、呼吸系统疾病和外部原因导致的死亡结果与全因死亡率相似,而对于癌症,在调整了与生活方式和健康相关的因素后,这种关联要弱得多且不显著。

结论

握力较弱与全因死亡率增加相关,对心血管疾病、呼吸系统疾病和外部原因导致的死亡有类似影响,而与癌症相关的死亡关联则弱得多。这些关联在男女两性和各年龄组中都相似,这支持了握力可能是一生中衰老生物标志物的假设。

https://cdn.ncbi.nlm.nih.gov/pmc/blobs/c7bb/5136688/446193657ac5/jech-2015-206776f01.jpg

文献AI研究员

20分钟写一篇综述,助力文献阅读效率提升50倍。

立即体验

用中文搜PubMed

大模型驱动的PubMed中文搜索引擎

马上搜索

文档翻译

学术文献翻译模型,支持多种主流文档格式。

立即体验