Suppr超能文献

社会支持与老年人的自评健康:台湾台南与福建福州的比较研究

Social support and the self-rated health of older people: A comparative study in Tainan Taiwan and Fuzhou Fujian province.

作者信息

Dai Yue, Zhang Chen-Yun, Zhang Bao-Quan, Li Zhanzhan, Jiang Caixiao, Huang Hui-Ling

机构信息

Department of Health Management, School of Public Health, Fujian Medical University, Fuzhou Fujian Province Department of Healthcare Management, School of Public Health, Central South University, Changsha Hunan Province Department of Health Policy and Law, School of Public Health, Fujian Medical University Department of Neonatology, Fujian Maternal and Child Health, Fuzhou Fujian Province Department of Epidemiology and Statistics Department of Epidemiology and Statistics, School of Public Health, Central South University, Changsha Hunan Province Department of Gerontology, Union Hospital of Fujian Medical University, Fuzhou Fujian Province, China.

出版信息

Medicine (Baltimore). 2016 Jun;95(24):e3881. doi: 10.1097/MD.0000000000003881.

Abstract

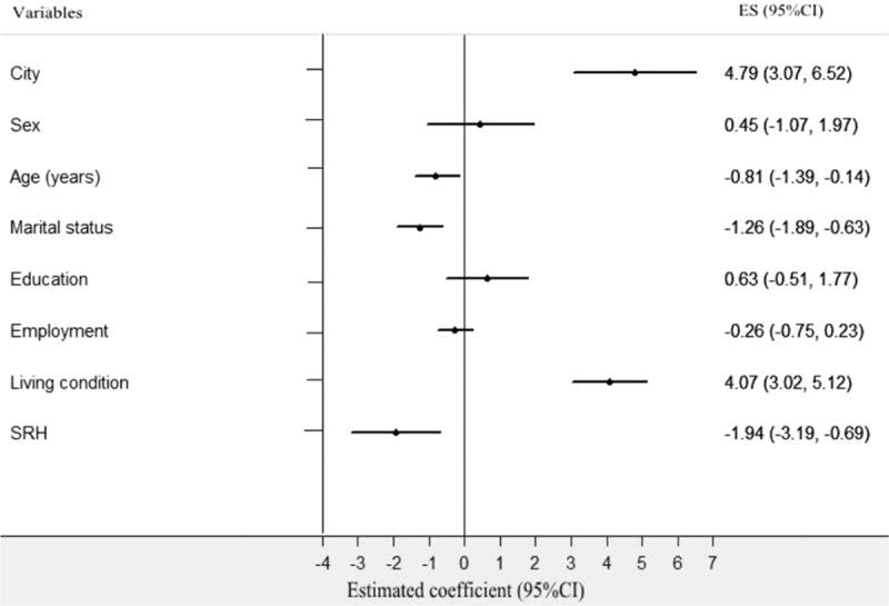
The lack of social support in elderly populations incurs real societal costs and can lead to their poor health. The aim of this study is to investigate the self-rated health (SRH) and social support among older people as well as its associated factors.We conducted a cross-sectional study among 312 urban community-dwelling elderly aged 65 to 90 years in Tainan Taiwan and Fuzhou Fujian Province from March 2012 to October 2012. A Spearson correlation test, independent t test, a Pearson χ test, a linear regression analysis, and a multiple-level model were performed to analyze the results.The participants identified children as the most important source of objective and subjective support, followed by spouse and relatives. Tainan's elderly received more daily life assistance and emotional support, showed stronger awareness of the need to seek help, and maintained a higher frequency of social interactions compared with the elderly in Fuzhou. The mean objective support, subjective support, and support utilization scores as well as the overall social support among Tainan's elderly were significantly high compared with the scores among Fuzhou's elderly. Further, Tainan's elderly rated better SRH than Fuzhou's elderly. Correlation analysis showed that social support was significantly correlated with city, age, living conditions, marital status, and SRH. Multiple linear regression analysis, with social support as a dependent variable, retained the following independent predictors in the final regression model: city (4.792, 95% confidence interval [CI]: 3.068-6.516, P = 0.000), age (-0.805, 95% CI: -1.394 to -0.135, P = 0.013), marital status (-1.260, 95% CI: -1.891 to -0.629, P = 0.000), living conditions (4.069, 95% CI: 3.022-5.116, P = 0.000), and SRH -1.941, 95% CI: -3.194 to -0.688, P = 0.003). The multiple-level model showed that city would impact older people's social support (χ = 5.103, P < 0.001). Marital status (-2.133, 95% CI: -2.768 to -1.499, P = 0.000), education (1.697, 95% CI: 0.589-2.805 P = 0.003), living conditions (4.20, 95% CI: 1.762-6.638, P = 0.000), and SRH (-3.144, 95% CI: -4.502 to -1.727, P = 0.000) were the associated factors. Thus, city, age, marital status, education, living conditions, and SRH might be the associated factors for social support among older people.This study presents some feasible implications for social support improvement in China and in other nations worldwide.

摘要

老年人群缺乏社会支持会产生实际的社会成本,并可能导致他们健康状况不佳。本研究的目的是调查老年人的自评健康状况(SRH)和社会支持及其相关因素。2012年3月至2012年10月,我们对台湾台南和福建福州312名年龄在65至90岁的城市社区老年人进行了一项横断面研究。采用Spearson相关检验、独立t检验、Pearsonχ检验、线性回归分析和多层次模型对结果进行分析。参与者认为子女是客观和主观支持的最重要来源,其次是配偶和亲属。与福州的老年人相比,台南的老年人获得了更多的日常生活帮助和情感支持,表现出更强的求助意识,并且保持着更高的社交互动频率。台南老年人的客观支持、主观支持、支持利用得分以及总体社会支持得分均显著高于福州的老年人。此外,台南的老年人自评健康状况比福州的老年人更好。相关分析表明,社会支持与城市、年龄、生活状况、婚姻状况和自评健康状况显著相关。以社会支持为因变量的多元线性回归分析在最终回归模型中保留了以下自变量:城市(4.792,95%置信区间[CI]:3.068 - 6.516,P = 0.000)、年龄(-0.805,95% CI:-1.394至-0.135,P = 0.013)、婚姻状况(-1.260,95% CI:-1.891至-0.629,P = 0.000)、生活状况(4.069,95% CI:3.022 - 5.116,P = 0.000)和自评健康状况(-1.941,95% CI:-3.194至-0.688,P = 0.003)。多层次模型表明城市会影响老年人的社会支持(χ = 5.103,P < 0.001)。婚姻状况(-2.133,95% CI:-2.768至-1.499,P = 0.000)、教育程度(1.697,95% CI:0.589 - 2.805,P = 0.003)、生活状况(4.20,95% CI:1.762 - 6.638,P = 0.000)和自评健康状况(-3.144,95% CI:-4.502至-1.727,P = 0.000)是相关因素。因此,城市、年龄、婚姻状况、教育程度、生活状况和自评健康状况可能是老年人社会支持的相关因素。本研究为中国及世界其他国家改善社会支持提供了一些可行的启示。

https://cdn.ncbi.nlm.nih.gov/pmc/blobs/6a4b/4998465/42c3b629fe27/medi-95-e3881-g001.jpg

文献AI研究员

20分钟写一篇综述,助力文献阅读效率提升50倍。

立即体验

用中文搜PubMed

大模型驱动的PubMed中文搜索引擎

马上搜索

文档翻译

学术文献翻译模型,支持多种主流文档格式。

立即体验