Suppr超能文献

由γ-氨基丁酸(GABA)调节的代谢途径有助于匍匐翦股颖(Agrostis stolonifera)的耐热性。

Metabolic pathways regulated by γ-aminobutyric acid (GABA) contributing to heat tolerance in creeping bentgrass (Agrostis stolonifera).

作者信息

Li Zhou, Yu Jingjin, Peng Yan, Huang Bingru

机构信息

Department of Grassland Science, College of Animal Science and Technology, Sichuan Agricultural University, Chengdu, Sichuan, China.

Department of Plant Biology and Pathology, Rurgers University, 59 Dudley Road, New Brunswick, New Jersey 08901.

出版信息

Sci Rep. 2016 Jul 26;6:30338. doi: 10.1038/srep30338.

Abstract

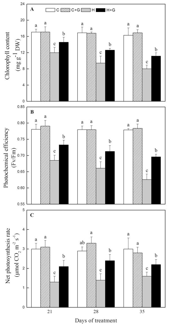
γ-Aminobutyric acid is a non-protein amino acid involved in various metabolic processes. The objectives of this study were to examine whether increased GABA could improve heat tolerance in cool-season creeping bentgrass through physiological analysis, and to determine major metabolic pathways regulated by GABA through metabolic profiling. Plants were pretreated with 0.5 mM GABA or water before exposed to non-stressed condition (21/19 °C) or heat stress (35/30 °C) in controlled growth chambers for 35 d. The growth and physiological analysis demonstrated that exogenous GABA application significantly improved heat tolerance of creeping bentgrass. Metabolic profiling found that exogenous application of GABA led to increases in accumulations of amino acids (glutamic acid, aspartic acid, alanine, threonine, serine, and valine), organic acids (aconitic acid, malic acid, succinic acid, oxalic acid, and threonic acid), sugars (sucrose, fructose, glucose, galactose, and maltose), and sugar alcohols (mannitol and myo-inositol). These findings suggest that GABA-induced heat tolerance in creeping bentgrass could involve the enhancement of photosynthesis and ascorbate-glutathione cycle, the maintenance of osmotic adjustment, and the increase in GABA shunt. The increased GABA shunt could be the supply of intermediates to feed the tricarboxylic acid cycle of respiration metabolism during a long-term heat stress, thereby maintaining metabolic homeostasis.

摘要

γ-氨基丁酸是一种参与多种代谢过程的非蛋白质氨基酸。本研究的目的是通过生理分析来检验增加γ-氨基丁酸是否能提高冷季型匍匐翦股颖的耐热性,并通过代谢谱分析确定受γ-氨基丁酸调控的主要代谢途径。在可控生长室中,将植物分别用0.5 mM γ-氨基丁酸或水处理,然后置于非胁迫条件(21/19°C)或热胁迫(35/30°C)下35天。生长和生理分析表明,外源施用γ-氨基丁酸显著提高了匍匐翦股颖的耐热性。代谢谱分析发现,外源施用γ-氨基丁酸导致氨基酸(谷氨酸、天冬氨酸、丙氨酸、苏氨酸、丝氨酸和缬氨酸)、有机酸(乌头酸、苹果酸、琥珀酸、草酸和苏糖酸)、糖类(蔗糖、果糖、葡萄糖、半乳糖和麦芽糖)以及糖醇(甘露醇和肌醇)的积累增加。这些发现表明,γ-氨基丁酸诱导匍匐翦股颖耐热性可能涉及光合作用和抗坏血酸-谷胱甘肽循环的增强、渗透调节的维持以及γ-氨基丁酸分流的增加。γ-氨基丁酸分流增加可能是在长期热胁迫期间为呼吸代谢的三羧酸循环提供中间产物,从而维持代谢稳态。

https://cdn.ncbi.nlm.nih.gov/pmc/blobs/9e6a/4960583/41177ef11f17/srep30338-f1.jpg

文献AI研究员

20分钟写一篇综述,助力文献阅读效率提升50倍。

立即体验

用中文搜PubMed

大模型驱动的PubMed中文搜索引擎

马上搜索

文档翻译

学术文献翻译模型,支持多种主流文档格式。

立即体验