Suppr超能文献

一种用于测量癌组织全切片图像中微血管密度的组织学方法的开发与验证

Development and Validation of a Histological Method to Measure Microvessel Density in Whole-Slide Images of Cancer Tissue.

作者信息

Marien Koen M, Croons Valerie, Waumans Yannick, Sluydts Ellen, De Schepper Stefanie, Andries Luc, Waelput Wim, Fransen Erik, Vermeulen Peter B, Kockx Mark M, De Meyer Guido R Y

机构信息

Division of Physiopharmacology, University of Antwerp, Antwerp, Belgium.

HistoGeneX NV, Antwerp, Belgium.

出版信息

PLoS One. 2016 Sep 1;11(9):e0161496. doi: 10.1371/journal.pone.0161496. eCollection 2016.

Abstract

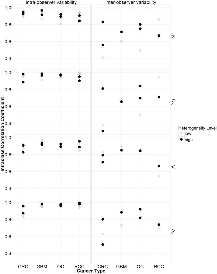
Despite all efforts made to develop predictive biomarkers for antiangiogenic therapies, no unambiguous markers have been identified so far. This is due to among others the lack of standardized tests. This study presents an improved microvessel density quantification method in tumor tissue based on stereological principles and using whole-slide images. Vessels in tissue sections of different cancer types were stained for CD31 by an automated and validated immunohistochemical staining method. The stained slides were digitized with a digital slide scanner. Systematic, uniform, random sampling of the regions of interest on the whole-slide images was performed semi-automatically with the previously published applications AutoTag and AutoSnap. Subsequently, an unbiased counting grid was combined with the images generated with these scripts. Up to six independent observers counted microvessels in up to four cancer types: colorectal carcinoma, glioblastoma multiforme, ovarian carcinoma and renal cell carcinoma. At first, inter-observer variability was found to be unacceptable. However, after a series of consensus training sessions and interim statistical analysis, counting rules were modified and inter-observer concordance improved considerably. Every CD31-positive object was counted, with exclusion of suspected CD31-positive monocytes, macrophages and tumor cells. Furthermore, if interconnected, stained objects were considered a single vessel. Ten regions of interest were sufficient for accurate microvessel density measurements. Intra-observer and inter-observer variability were low (intraclass correlation coefficient > 0.7) if the observers were adequately trained.

摘要

尽管为开发抗血管生成疗法的预测性生物标志物付出了诸多努力,但迄今为止尚未确定明确的标志物。这尤其归因于缺乏标准化测试。本研究基于体视学原理并使用全切片图像,提出了一种改进的肿瘤组织微血管密度定量方法。通过自动化且经过验证的免疫组织化学染色方法,对不同癌症类型组织切片中的血管进行CD31染色。用数字切片扫描仪对染色后的玻片进行数字化处理。使用先前发表的应用程序AutoTag和AutoSnap对全切片图像上的感兴趣区域进行半自动的系统、均匀、随机采样。随后,将无偏计数网格与用这些脚本生成的图像相结合。多达六名独立观察者对多达四种癌症类型(结直肠癌、多形性胶质母细胞瘤、卵巢癌和肾细胞癌)中的微血管进行计数。起初,观察者间的变异性被发现是不可接受的。然而,经过一系列共识培训课程和中期统计分析后,计数规则得到修改,观察者间的一致性有了显著提高。对每个CD31阳性物体进行计数,但排除疑似CD31阳性的单核细胞、巨噬细胞和肿瘤细胞。此外,如果染色物体相互连接,则视为单个血管。十个感兴趣区域足以进行准确的微血管密度测量。如果观察者经过充分培训,观察者内和观察者间的变异性较低(组内相关系数>0.7)。

https://cdn.ncbi.nlm.nih.gov/pmc/blobs/4326/5008750/b818e7dbeb38/pone.0161496.g001.jpg

文献AI研究员

20分钟写一篇综述,助力文献阅读效率提升50倍。

立即体验

用中文搜PubMed

大模型驱动的PubMed中文搜索引擎

马上搜索

文档翻译

学术文献翻译模型,支持多种主流文档格式。

立即体验