Suppr超能文献

来自地方性感染猪场的三个不同年龄类别断奶后仔猪群体口腔液体和个体血清样本中猪繁殖与呼吸综合征病毒核酸和抗体检测的比较

Comparison of PRRSV Nucleic Acid and Antibody Detection in Pen-Based Oral Fluid and Individual Serum Samples in Three Different Age Categories of Post-Weaning Pigs from Endemically Infected Farms.

作者信息

De Regge Nick, Cay Brigitte

机构信息

Enzootic and (Re)emerging Diseases, Operational Direction Viral Diseases, CODA-CERVA, Groeselenberg 99, 1180 Ukkel, Belgium.

出版信息

PLoS One. 2016 Nov 7;11(11):e0166300. doi: 10.1371/journal.pone.0166300. eCollection 2016.

Abstract

BACKGROUND

Porcine reproductive and respiratory syndrome virus (PRRSV) is the causative agent of an economically important disease in swine. Since it has been shown that PRRSV and PRRSV specific antibodies can be detected in oral fluid, many different aspects have been studied to show that oral fluid could be a worthy alternative diagnostic sample to serum for monitoring and surveillance of this disease. Thorough field evaluations are however missing to convincingly show its usefulness under representative field conditions.

METHODOLOGY

Pen-based oral fluid samples and serum samples from all individual pigs in the corresponding pens were collected from post-weaning pigs of three different age categories in eight endemically PRRSV infected farms and one PRRSV free farm in Belgium. All samples were tested by quantitative reverse transcription polymerase chain reaction (qRT-PCR) and ELISA to detect PRRSV RNA and PRRSV specific antibodies, respectively.

RESULTS

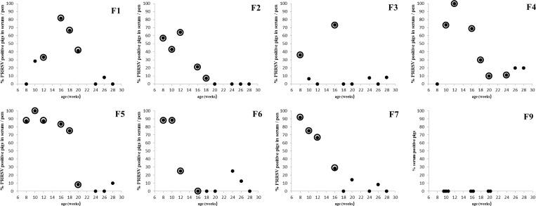
While the relative specificity of PRRSV detection by qRT-PCR in pen-based oral fluid compared to serum collected from individual pigs was high in all age categories (>90%), the relative sensitivity decreased with the age of the pigs (89, 93 and 10% in 8-12w, 16-20w and 24-28w old pigs, respectively). The latter correlated with a lower percentage of PRRSV positive pigs in serum/pen in the different age categories (55, 29 and 6%, respectively). Irrespective of the age category, pen-based oral fluid samples were always found PCR positive when at least 30% of the individual pigs were positive in serum. PRRSV specific antibody detection in oral fluid by ELISA showed a 100% relative sensitivity to detection in serum since oral fluid samples were always positive as soon as one pig in the pen was positive in serum. On the other hand, two false positive oral fluid samples in 11 pens without serum positive pigs were found, resulting in a relative specificity of 82%. Indications are however present that the oral fluid result indicated the correct infection status but the absence of a golden standard test makes it difficult to define definitive test characteristics.

CONCLUSIONS

Overall it can be concluded that oral fluid seems to be a useful matrix for diagnosis of PRRSV under field conditions and that differences in kinetics of PRRSV and PRRSV specific antibody detection in oral fluid and serum of individual pigs can also be reflected in pen-based oral fluid results.

摘要

背景

猪繁殖与呼吸综合征病毒(PRRSV)是猪群中一种具有重要经济影响的疾病的病原体。由于已证明可在口腔液中检测到PRRSV及PRRSV特异性抗体,因此已对许多不同方面进行了研究,以表明口腔液可能是用于监测和监视该疾病的血清的一种有价值的替代诊断样本。然而,尚缺乏全面的现场评估来令人信服地证明其在具有代表性的现场条件下的有用性。

方法

从比利时8个PRRSV地方流行感染猪场和1个无PRRSV猪场的三个不同年龄类别的断奶后仔猪中,采集相应猪栏中所有个体猪的基于栏舍的口腔液样本和血清样本。所有样本分别通过定量逆转录聚合酶链反应(qRT-PCR)和ELISA进行检测,以检测PRRSV RNA和PRRSV特异性抗体。

结果

虽然在所有年龄类别中,与从个体猪采集的血清相比,基于栏舍的口腔液中通过qRT-PCR检测PRRSV的相对特异性较高(>90%),但相对敏感性随猪的年龄而降低(8-12周龄、16-20周龄和24-28周龄猪分别为89%、93%和10%)。后者与不同年龄类别血清/栏舍中PRRSV阳性猪的较低百分比相关(分别为55%、29%和6%)。无论年龄类别如何,当至少30%的个体猪血清呈阳性时,基于栏舍的口腔液样本PCR检测总是呈阳性。通过ELISA检测口腔液中的PRRSV特异性抗体对血清检测显示出100%的相对敏感性,因为只要栏舍中有一头猪血清呈阳性,口腔液样本就总是呈阳性。另一方面,在11个无血清阳性猪的栏舍中发现了2个口腔液假阳性样本,导致相对特异性为82%。然而,有迹象表明口腔液检测结果表明了正确的感染状态,但由于缺乏金标准检测,难以确定明确的检测特征。

结论

总体而言,可以得出结论,在现场条件下,口腔液似乎是诊断PRRSV的有用基质,并且个体猪口腔液和血清中PRRSV及PRRSV特异性抗体检测动力学的差异也可以反映在基于栏舍的口腔液检测结果中。

https://cdn.ncbi.nlm.nih.gov/pmc/blobs/bf02/5098819/b6561e1db87a/pone.0166300.g001.jpg

文献AI研究员

20分钟写一篇综述,助力文献阅读效率提升50倍。

立即体验

用中文搜PubMed

大模型驱动的PubMed中文搜索引擎

马上搜索

文档翻译

学术文献翻译模型,支持多种主流文档格式。

立即体验