Suppr超能文献

协调采矿与洞穴生物多样性保护:帮助确定保护优先事项的定量基线

Reconciling Mining with the Conservation of Cave Biodiversity: A Quantitative Baseline to Help Establish Conservation Priorities.

作者信息

Jaffé Rodolfo, Prous Xavier, Zampaulo Robson, Giannini Tereza C, Imperatriz-Fonseca Vera L, Maurity Clóvis, Oliveira Guilherme, Brandi Iuri V, Siqueira José O

机构信息

Vale Institute of Technology - Sustainable Development, Belém, Pará, Brazil.

Environmental Licensing and Speleology, Vale, Nova Lima, Minas Gerais, Brazil.

出版信息

PLoS One. 2016 Dec 20;11(12):e0168348. doi: 10.1371/journal.pone.0168348. eCollection 2016.

Abstract

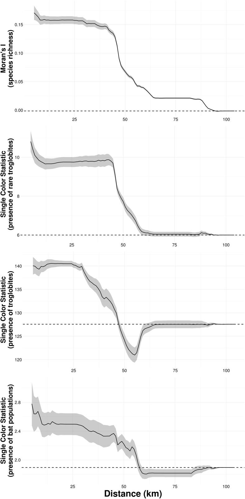
Caves pose significant challenges for mining projects, since they harbor many endemic and threatened species, and must therefore be protected. Recent discussions between academia, environmental protection agencies, and industry partners, have highlighted problems with the current Brazilian legislation for the protection of caves. While the licensing process is long, complex and cumbersome, the criteria used to assign caves into conservation relevance categories are often subjective, with relevance being mainly determined by the presence of obligate cave dwellers (troglobites) and their presumed rarity. However, the rarity of these troglobitic species is questionable, as most remain unidentified to the species level and their habitats and distribution ranges are poorly known. Using data from 844 iron caves retrieved from different speleology reports for the Carajás region (South-Eastern Amazon, Brazil), one of the world's largest deposits of high-grade iron ore, we assess the influence of different cave characteristics on four biodiversity proxies (species richness, presence of troglobites, presence of rare troglobites, and presence of resident bat populations). We then examine how the current relevance classification scheme ranks caves with different biodiversity indicators. Large caves were found to be important reservoirs of biodiversity, so they should be prioritized in conservation programs. Our results also reveal spatial autocorrelation in all the biodiversity proxies assessed, indicating that iron caves should be treated as components of a cave network immersed in the karst landscape. Finally, we show that by prioritizing the conservation of rare troglobites, the current relevance classification scheme is undermining overall cave biodiversity and leaving ecologically important caves unprotected. We argue that conservation efforts should target subterranean habitats as a whole and propose an alternative relevance ranking scheme, which could help simplify the assessment process and channel more resources to the effective protection of overall cave biodiversity.

摘要

洞穴给采矿项目带来了重大挑战,因为它们栖息着许多特有和濒危物种,因此必须加以保护。学术界、环境保护机构和行业合作伙伴最近的讨论凸显了巴西现行洞穴保护立法存在的问题。虽然许可程序漫长、复杂且繁琐,但用于将洞穴划分为具有保护相关性类别的标准往往是主观的,相关性主要由专性洞穴居民(洞穴生物)的存在及其假定的稀有性决定。然而,这些洞穴生物物种的稀有性值得怀疑,因为大多数在物种层面仍未得到鉴定,其栖息地和分布范围也鲜为人知。利用从巴西东南部亚马逊地区卡拉雅斯地区不同洞穴学报告中获取的844个铁矿洞穴的数据(世界上最大的高品位铁矿石矿床之一),我们评估了不同洞穴特征对四个生物多样性指标(物种丰富度、洞穴生物的存在、稀有洞穴生物的存在以及常驻蝙蝠种群的存在)的影响。然后,我们研究了当前的相关性分类方案如何对具有不同生物多样性指标的洞穴进行排名。发现大型洞穴是重要的生物多样性储存库,因此应在保护计划中优先考虑。我们的结果还揭示了所有评估的生物多样性指标中存在空间自相关性,这表明铁矿洞穴应被视为岩溶景观中洞穴网络的组成部分。最后,我们表明,通过优先保护稀有洞穴生物,当前的相关性分类方案正在破坏整体洞穴生物多样性,使具有生态重要性的洞穴得不到保护。我们认为,保护工作应将地下栖息地作为一个整体目标,并提出一种替代的相关性排名方案,这有助于简化评估过程,并将更多资源引导至有效保护整体洞穴生物多样性。

https://cdn.ncbi.nlm.nih.gov/pmc/blobs/6084/5173368/d8d66841543e/pone.0168348.g001.jpg

文献AI研究员

20分钟写一篇综述,助力文献阅读效率提升50倍。

立即体验

用中文搜PubMed

大模型驱动的PubMed中文搜索引擎

马上搜索

文档翻译

学术文献翻译模型,支持多种主流文档格式。

立即体验