Suppr超能文献

一种机器学习模型与欧洲心脏手术风险评估系统II(EuroSCORE II)在预测择期心脏手术后死亡率方面的比较:决策曲线分析

A Comparison of a Machine Learning Model with EuroSCORE II in Predicting Mortality after Elective Cardiac Surgery: A Decision Curve Analysis.

作者信息

Allyn Jérôme, Allou Nicolas, Augustin Pascal, Philip Ivan, Martinet Olivier, Belghiti Myriem, Provenchere Sophie, Montravers Philippe, Ferdynus Cyril

机构信息

Réanimation Polyvalente, Centre Hospitalier Universitaire Félix Guyon, Saint-Denis, France.

Département d'Anesthésie Réanimation, APHP, CHU Bichat-Claude Bernard, Paris, France.

出版信息

PLoS One. 2017 Jan 6;12(1):e0169772. doi: 10.1371/journal.pone.0169772. eCollection 2017.

Abstract

BACKGROUND

The benefits of cardiac surgery are sometimes difficult to predict and the decision to operate on a given individual is complex. Machine Learning and Decision Curve Analysis (DCA) are recent methods developed to create and evaluate prediction models.

METHODS AND FINDING

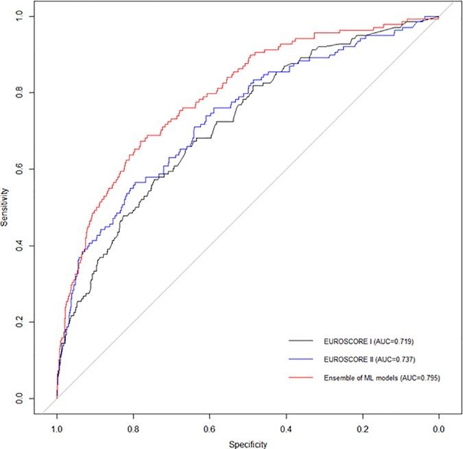
We conducted a retrospective cohort study using a prospective collected database from December 2005 to December 2012, from a cardiac surgical center at University Hospital. The different models of prediction of mortality in-hospital after elective cardiac surgery, including EuroSCORE II, a logistic regression model and a machine learning model, were compared by ROC and DCA. Of the 6,520 patients having elective cardiac surgery with cardiopulmonary bypass, 6.3% died. Mean age was 63.4 years old (standard deviation 14.4), and mean EuroSCORE II was 3.7 (4.8) %. The area under ROC curve (IC95%) for the machine learning model (0.795 (0.755-0.834)) was significantly higher than EuroSCORE II or the logistic regression model (respectively, 0.737 (0.691-0.783) and 0.742 (0.698-0.785), p < 0.0001). Decision Curve Analysis showed that the machine learning model, in this monocentric study, has a greater benefit whatever the probability threshold.

CONCLUSIONS

According to ROC and DCA, machine learning model is more accurate in predicting mortality after elective cardiac surgery than EuroSCORE II. These results confirm the use of machine learning methods in the field of medical prediction.

摘要

背景

心脏手术的益处有时难以预测,对特定个体进行手术的决策很复杂。机器学习和决策曲线分析(DCA)是最近开发的用于创建和评估预测模型的方法。

方法与发现

我们使用2005年12月至2012年12月前瞻性收集的数据库,在大学医院的心脏外科中心进行了一项回顾性队列研究。通过ROC和DCA比较了择期心脏手术后院内死亡的不同预测模型,包括欧洲心脏手术风险评估系统II(EuroSCORE II)、逻辑回归模型和机器学习模型。在6520例行体外循环择期心脏手术的患者中,6.3%死亡。平均年龄为63.4岁(标准差14.4),平均EuroSCORE II为3.7(4.8)%。机器学习模型的ROC曲线下面积(95%置信区间)为0.795(0.755 - 0.834),显著高于EuroSCORE II或逻辑回归模型(分别为0.737(0.691 - 0.783)和0.742(0.698 - 0.785),p < 0.0001)。决策曲线分析表明,在这项单中心研究中,无论概率阈值如何,机器学习模型都有更大的益处。

结论

根据ROC和DCA,机器学习模型在预测择期心脏手术后的死亡率方面比EuroSCORE II更准确。这些结果证实了机器学习方法在医学预测领域的应用。

https://cdn.ncbi.nlm.nih.gov/pmc/blobs/9049/5218502/8cfda8be7260/pone.0169772.g001.jpg

文献AI研究员

20分钟写一篇综述,助力文献阅读效率提升50倍。

立即体验

用中文搜PubMed

大模型驱动的PubMed中文搜索引擎

马上搜索

文档翻译

学术文献翻译模型,支持多种主流文档格式。

立即体验