Suppr超能文献

2002-2013 年挪威中北部血流感染负担:一项前瞻性基于人群的观察性研究。

Burden of bloodstream infection in an area of Mid-Norway 2002-2013: a prospective population-based observational study.

机构信息

Department of Medicine, Levanger Hospital, Nord-Trøndelag Hospital Trust, post box 333, Levanger, N-7601, Norway.

Unit for Applied Clinical Research, Department of Cancer Research and Molecular Medicine, Norwegian University of Science and Technology, Trondheim, Norway.

出版信息

BMC Infect Dis. 2017 Mar 11;17(1):205. doi: 10.1186/s12879-017-2291-2.

Abstract

BACKGROUND

Studies from several countries indicate that the incidence and mortality of bloodstream infection (BSI) have been increasing over time.

METHODS

We studied the burden of disease and death related to BSI in a defined geographical area of Mid-Norway, where BSI episodes were prospectively recorded by the same microbiological department during 12 consecutive years. Death from BSI was defined as death within 30 days of BSI detection. Age and sex standardized incidence and mortality rates and case fatality rates were calculated.

RESULTS

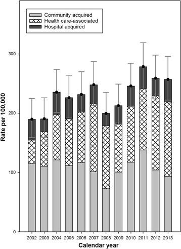
Between 2002 and 2013, 1995 episodes of BSI in 1719 patients aged 16 to 99 years were included. The overall incidence of BSI was 215 per 100,000 person-years. The incidence increased exponentially with age, particularly in males. The incidence increased from 205 to 223 per 100,000 person-years from 2002-07 to 2008-13. Escherichia coli was the most frequently isolated infective agent, followed by Streptococcus pneumoniae and Staphylococcus aureus. The rate of S. pneumoniae BSI decreased over time in males (on average by 9.2% annually), but not in females. The total rate of BSI microbes with acquired resistance increased slightly over time, but did not exceed 2 episodes per 100,000 person-years. The mortality of BSI was 32 per 100,000 person-years, higher in males than in females (36 vs. 28 per 100,000 person-years) and was significantly higher in old age, particularly in males. The total BSI mortality was similar in the first and second halves of the study period, but the mortality of S. pneumoniae BSI decreased in males (15.0% annually). The crude case fatality decreased from the first to the second half of the study period (17.2% to 13.1%; p = 0.014). The rate of blood culture sampling increased more than twofold during the study period.

CONCLUSIONS

The mortality of BSI remained stable during 2002-2013. At the same time, BSI incidence increased and case fatality rate decreased, perhaps because an increased rate of blood culture sampling may have led to improved detection of milder BSI episodes. Very low, yet slightly increasing rates of microbes with acquired resistance were observed.

摘要

背景

来自多个国家的研究表明,血流感染(BSI)的发病率和死亡率一直在上升。

方法

我们研究了在挪威中北部一个特定地理区域内与 BSI 相关的疾病负担和死亡情况,在 12 年的时间里,同一微生物部门对 BSI 病例进行了前瞻性记录。BSI 导致的死亡定义为 BSI 检测后 30 天内的死亡。计算了年龄和性别标准化发病率、死亡率和病死率。

结果

2002 年至 2013 年期间,共纳入了 1719 名 16 至 99 岁患者的 1995 例 BSI 病例。BSI 的总体发病率为 215 例/10 万人年。发病率随年龄呈指数增长,特别是在男性中。发病率从 2002-07 年至 2008-13 年从 205 例/10 万人年增加到 223 例/10 万人年。大肠埃希菌是最常分离的感染病原体,其次是肺炎链球菌和金黄色葡萄球菌。男性中肺炎链球菌 BSI 的发病率随着时间的推移而下降(平均每年下降 9.2%),但在女性中没有下降。获得性耐药的 BSI 微生物总数略有增加,但未超过 2 例/10 万人年。BSI 的死亡率为 32 例/10 万人年,男性高于女性(36 比 28 例/10 万人年),且在老年时显著更高,特别是在男性中。整个研究期间 BSI 总死亡率在第一和第二半段相似,但男性中肺炎链球菌 BSI 的死亡率下降(每年 15.0%)。粗病死率从研究期间的前半段下降到后半段(从 17.2%降至 13.1%;p=0.014)。同期血培养采样率增加了两倍多。

结论

2002-2013 年期间,BSI 的死亡率保持稳定。与此同时,BSI 的发病率增加,病死率下降,这可能是因为血培养采样率的增加导致更轻度 BSI 发作的检出率提高。观察到获得性耐药微生物的比率非常低,但略有增加。

https://cdn.ncbi.nlm.nih.gov/pmc/blobs/eb0d/5346205/6cd9eb7c15ce/12879_2017_2291_Fig1_HTML.jpg

文献AI研究员

20分钟写一篇综述,助力文献阅读效率提升50倍。

立即体验

用中文搜PubMed

大模型驱动的PubMed中文搜索引擎

马上搜索

文档翻译

学术文献翻译模型,支持多种主流文档格式。

立即体验