Suppr超能文献

评估BRCA1和BRCA2突变携带者中用于乳腺癌和卵巢癌风险预测的多基因风险评分

Evaluation of Polygenic Risk Scores for Breast and Ovarian Cancer Risk Prediction in BRCA1 and BRCA2 Mutation Carriers.

作者信息

Kuchenbaecker Karoline B, McGuffog Lesley, Barrowdale Daniel, Lee Andrew, Soucy Penny, Dennis Joe, Domchek Susan M, Robson Mark, Spurdle Amanda B, Ramus Susan J, Mavaddat Nasim, Terry Mary Beth, Neuhausen Susan L, Schmutzler Rita Katharina, Simard Jacques, Pharoah Paul D P, Offit Kenneth, Couch Fergus J, Chenevix-Trench Georgia, Easton Douglas F, Antoniou Antonis C

机构信息

The Wellcome Trust Sanger Institute, Wellcome Trust Genome Campus, Hinxton, Cambridge, UK.

Department of Public Health and Primary Care, University of Cambridge, Cambridge, UK.

出版信息

J Natl Cancer Inst. 2017 Jul 1;109(7). doi: 10.1093/jnci/djw302.

Abstract

BACKGROUND

Genome-wide association studies (GWAS) have identified 94 common single-nucleotide polymorphisms (SNPs) associated with breast cancer (BC) risk and 18 associated with ovarian cancer (OC) risk. Several of these are also associated with risk of BC or OC for women who carry a pathogenic mutation in the high-risk BC and OC genes BRCA1 or BRCA2. The combined effects of these variants on BC or OC risk for BRCA1 and BRCA2 mutation carriers have not yet been assessed while their clinical management could benefit from improved personalized risk estimates.

METHODS

We constructed polygenic risk scores (PRS) using BC and OC susceptibility SNPs identified through population-based GWAS: for BC (overall, estrogen receptor [ER]-positive, and ER-negative) and for OC. Using data from 15 252 female BRCA1 and 8211 BRCA2 carriers, the association of each PRS with BC or OC risk was evaluated using a weighted cohort approach, with time to diagnosis as the outcome and estimation of the hazard ratios (HRs) per standard deviation increase in the PRS.

RESULTS

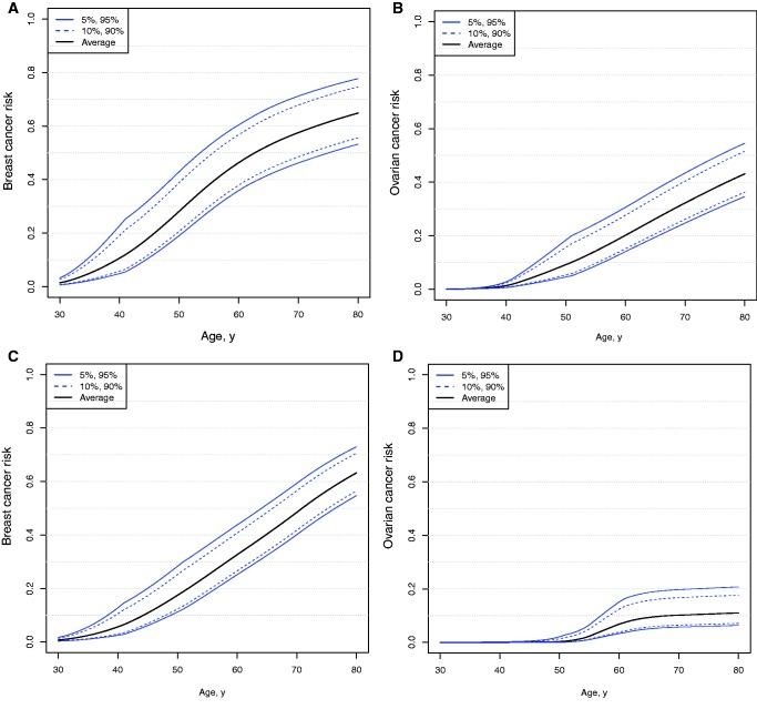
The PRS for ER-negative BC displayed the strongest association with BC risk in BRCA1 carriers (HR = 1.27, 95% confidence interval [CI] = 1.23 to 1.31, P =  8.2×10 -53 ). In BRCA2 carriers, the strongest association with BC risk was seen for the overall BC PRS (HR = 1.22, 95% CI = 1.17 to 1.28, P =  7.2×10 -20 ). The OC PRS was strongly associated with OC risk for both BRCA1 and BRCA2 carriers. These translate to differences in absolute risks (more than 10% in each case) between the top and bottom deciles of the PRS distribution; for example, the OC risk was 6% by age 80 years for BRCA2 carriers at the 10th percentile of the OC PRS compared with 19% risk for those at the 90th percentile of PRS.

CONCLUSIONS

BC and OC PRS are predictive of cancer risk in BRCA1 and BRCA2 carriers. Incorporation of the PRS into risk prediction models has promise to better inform decisions on cancer risk management.

摘要

背景

全基因组关联研究(GWAS)已鉴定出94个与乳腺癌(BC)风险相关的常见单核苷酸多态性(SNP)以及18个与卵巢癌(OC)风险相关的SNP。其中一些SNP也与携带高危BC和OC基因BRCA1或BRCA2致病突变的女性患BC或OC的风险相关。这些变异对BRCA1和BRCA2突变携带者患BC或OC风险的综合影响尚未评估,而其临床管理可受益于改进的个性化风险估计。

方法

我们使用通过基于人群的GWAS鉴定出的BC和OC易感性SNP构建多基因风险评分(PRS):针对BC(总体、雌激素受体[ER]阳性和ER阴性)以及针对OC。利用来自15252名BRCA1女性携带者和8211名BRCA2携带者的数据,采用加权队列方法评估每个PRS与BC或OC风险的关联,以诊断时间作为结局,并估计PRS每增加一个标准差的风险比(HR)。

结果

ER阴性BC的PRS在BRCA1携带者中与BC风险的关联最强(HR = 1.27,95%置信区间[CI] = 1.23至1.31,P = 8.2×10⁻⁵³)。在BRCA2携带者中,总体BC的PRS与BC风险的关联最强(HR = 1.22,95% CI = 1.17至1.28,P = 7.2×10⁻²⁰)。OC的PRS与BRCA1和BRCA2携带者的OC风险均密切相关。这些转化为PRS分布最高和最低十分位数之间绝对风险的差异(每种情况均超过10%);例如,BRCA2携带者中,处于OC的PRS第10百分位的人到80岁时OC风险为6%,而处于PRS第90百分位的人风险为19%。

结论

BC和OC的PRS可预测BRCA1和BRCA2携带者的癌症风险。将PRS纳入风险预测模型有望更好地为癌症风险管理决策提供依据。

https://cdn.ncbi.nlm.nih.gov/pmc/blobs/a250/5408990/67aefbbc1a9b/djw302f1.jpg

文献AI研究员

20分钟写一篇综述,助力文献阅读效率提升50倍。

立即体验

用中文搜PubMed

大模型驱动的PubMed中文搜索引擎

马上搜索

文档翻译

学术文献翻译模型,支持多种主流文档格式。

立即体验