Suppr超能文献

猪的破坏性行为、卫生条件与日粮蛋白质和氨基酸供应之间的联系。

A link between damaging behaviour in pigs, sanitary conditions, and dietary protein and amino acid supply.

作者信息

Meer Yvonne van der, Gerrits Walter J J, Jansman Alfons J M, Kemp Bas, Bolhuis J Elizabeth

机构信息

Wageningen University, Department of Animal Sciences, Animal Nutrition Group, Wageningen, The Netherlands.

De Heus Animal Nutrition, Ede, The Netherlands.

出版信息

PLoS One. 2017 May 8;12(5):e0174688. doi: 10.1371/journal.pone.0174688. eCollection 2017.

Abstract

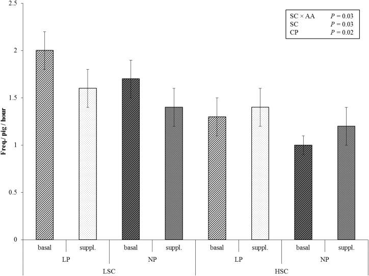
The tendency to reduce crude protein (CP) levels in pig diets to increase protein efficiency may increase the occurrence of damaging behaviours such as ear and tail biting, particularly for pigs kept under suboptimal health conditions. We studied, in a 2×2×2 factorial design, 576 tail-docked growing-finishing entire male pigs in 64 pens, subjected to low (LSC) vs. high sanitary conditions (HSC), and fed a normal CP (NP) vs. a low CP diet (LP, 80% of NP) ad libitum, with a basal amino acid (AA) profile or supplemented AA profile with extra threonine, tryptophan and methionine. The HSC pigs were vaccinated in the first nine weeks of life and received antibiotics at arrival at experimental farm at ten weeks, after which they were kept in a disinfected part of the farm with a strict hygiene protocol. The LSC pigs were kept on the same farm in non-disinfected pens to which manure from another pig farm was introduced fortnightly. At 15, 18, and 24 weeks of age, prevalence of tail and ear damage and of tail and ear wounds was scored. At 20 and 23 weeks of age, frequencies of biting behaviour and aggression were scored for 10×10 min per pen per week. The prevalence of ear damage during the finisher phase (47 vs. 32% of pigs, P < 0.0001) and the frequency of ear biting (1.3 vs. 1.2 times per hour, P = 0.03) were increased in LSC compared with HSC pigs. This effect on ear biting was diet dependent, however, the supplemented AA profile reduced ear biting only in LSC pigs by 18% (SC × AA profile, P < 0.01). The prevalence of tail wounds was lower for pigs in LSC (13 ± 0.02) than for pigs in HSC (0.22 ± 0.03) in the grower phase (P < 0.007). Regardless of AA profile or sanitary status, LP pigs showed more ear biting (+20%, P < 0.05), tail biting (+25%, P < 0.10), belly nosing (+152%, P < 0.01), other oral manipulation directed at pen mates (+13%, P < 0.05), and aggression (+30%, P < 0.01) than NP pigs, with no effect on ear or tail damage. In conclusion, both low sanitary conditions and a reduction of dietary protein increase the occurrence of damaging behaviours in pigs and therefore may negatively impact pig welfare. Attention should be paid to the impact of dietary nutrient composition on pig behaviour and welfare, particularly when pigs are kept under suboptimal (sanitary) conditions.

摘要

降低猪日粮中粗蛋白(CP)水平以提高蛋白质利用效率的趋势,可能会增加诸如咬耳和咬尾等有害行为的发生,尤其是对于健康状况欠佳的猪。我们采用2×2×2析因设计,对64个猪栏中的576头去尾的生长育肥公猪进行了研究,这些猪分别处于低(LSC)与高卫生条件(HSC)下,并随意采食正常CP(NP)日粮或低CP日粮(LP,为NP的80%),日粮具有基础氨基酸(AA)谱或添加了额外苏氨酸、色氨酸和蛋氨酸的AA谱。HSC组的猪在出生后的前九周进行了疫苗接种,并在十周龄到达实验农场时接受了抗生素治疗,之后它们被饲养在农场经过消毒的区域,并遵循严格的卫生规程。LSC组的猪被饲养在同一农场未消毒的猪栏中,每两周引入另一个猪场的粪便。在15、18和24周龄时,对猪的尾巴和耳朵损伤以及尾巴和耳朵伤口的发生率进行评分。在20和23周龄时,每周对每个猪栏进行10×10分钟的咬斗行为和攻击频率评分。与HSC组猪相比,LSC组猪在育肥阶段耳朵损伤的发生率更高(47%对32%的猪,P<0.0001),耳朵被咬频率更高(每小时1.3次对1.2次,P = 0.03)。然而,这种对咬耳的影响取决于日粮,添加AA谱仅使LSC组猪的咬耳行为减少了18%(卫生条件×AA谱,P<0.01)。在生长阶段,LSC组猪尾巴伤口的发生率(13±0.02)低于HSC组猪(0.22±0.03)(P<0.007)。无论AA谱或卫生状况如何,LP组猪比NP组猪表现出更多的咬耳行为(增加20%,P<0.05)、咬尾行为(增加25%,P<;0.10)、拱腹行为(增加152%,P<0.01)、对同栏猪的其他口腔攻击行为(增加13%,P<0.05)以及攻击行为(增加30%,P<0.01),但对耳朵或尾巴损伤没有影响。总之,低卫生条件和日粮蛋白质减少都会增加猪有害行为的发生,因此可能对猪的福利产生负面影响。应关注日粮营养成分对猪行为和福利的影响,特别是当猪处于欠佳(卫生)条件下时。

https://cdn.ncbi.nlm.nih.gov/pmc/blobs/cddc/5421778/6124b9b1f3f5/pone.0174688.g001.jpg

文献AI研究员

20分钟写一篇综述,助力文献阅读效率提升50倍。

立即体验

用中文搜PubMed

大模型驱动的PubMed中文搜索引擎

马上搜索

文档翻译

学术文献翻译模型,支持多种主流文档格式。

立即体验