Suppr超能文献

小鼠中热量限制的组织特异性转录标志物的鉴定及其在评估热量限制模拟物中的应用。

Identification of tissue-specific transcriptional markers of caloric restriction in the mouse and their use to evaluate caloric restriction mimetics.

作者信息

Barger Jamie L, Vann James M, Cray Nicole L, Pugh Thomas D, Mastaloudis Angela, Hester Shelly N, Wood Steven M, Newton Michael A, Weindruch Richard, Prolla Tomas A

机构信息

LifeGen Technologies LLC, Madison, WI, USA.

Center for Anti-Aging Research, NSE Products, Inc., Provo, UT, USA.

出版信息

Aging Cell. 2017 Aug;16(4):750-760. doi: 10.1111/acel.12608. Epub 2017 May 26.

Abstract

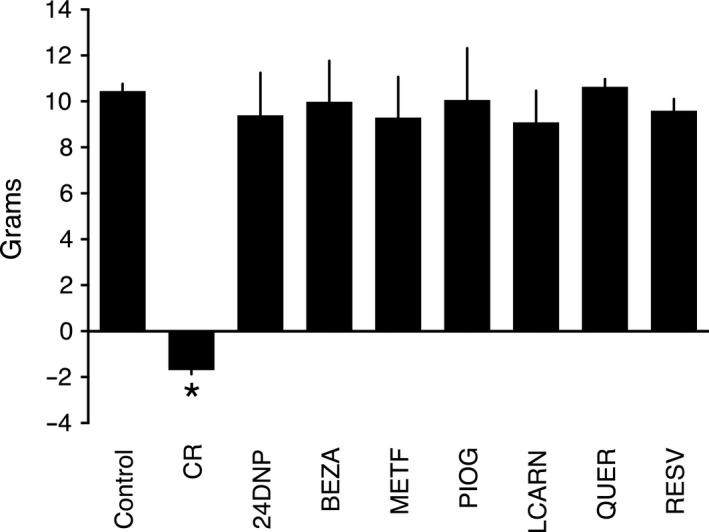
Caloric restriction (CR) without malnutrition has been shown to retard several aspects of the aging process and to extend lifespan in different species. There is strong interest in the identification of CR mimetics (CRMs), compounds that mimic the beneficial effects of CR on lifespan and healthspan without restriction of energy intake. Identification of CRMs in mammals is currently inefficient due to the lack of screening tools. We have performed whole-genome transcriptional profiling of CR in seven mouse strains (C3H/HeJ, CBA/J, DBA/2J, B6C3F1/J, 129S1/SvImJ, C57BL/6J, and BALB/cJ) in white adipose tissue (WAT), gastrocnemius muscle, heart, and brain neocortex. This analysis has identified tissue-specific panels of genes that change in expression in multiple mouse strains with CR. We validated a subset of genes with qPCR and used these to evaluate the potential CRMs bezafibrate, pioglitazone, metformin, resveratrol, quercetin, 2,4-dinitrophenol, and L-carnitine when fed to C57BL/6J 2-month-old mice for 3 months. Compounds were also evaluated for their ability to modulate previously characterized biomarkers of CR, including mitochondrial enzymes citrate synthase and SIRT3, plasma inflammatory cytokines TNF-α and IFN-γ, glycated hemoglobin (HbA1c) levels and adipocyte size. Pioglitazone, a PPAR-γ agonist, and L-carnitine, an amino acid involved in lipid metabolism, displayed the strongest effects on both the novel transcriptional markers of CR and the additional CR biomarkers tested. Our findings provide panels of tissue-specific transcriptional markers of CR that can be used to identify novel CRMs, and also represent the first comparative molecular analysis of several potential CRMs in multiple tissues in mammals.

摘要

无营养不良的热量限制(CR)已被证明可延缓衰老过程的多个方面,并延长不同物种的寿命。人们对鉴定热量限制模拟物(CRM)有着浓厚兴趣,这类化合物能在不限制能量摄入的情况下模拟CR对寿命和健康寿命的有益作用。由于缺乏筛选工具,目前在哺乳动物中鉴定CRM的效率较低。我们对七种小鼠品系(C3H/HeJ、CBA/J、DBA/2J、B6C3F1/J、129S1/SvImJ、C57BL/6J和BALB/cJ)的白色脂肪组织(WAT)、腓肠肌、心脏和大脑新皮质进行了CR的全基因组转录谱分析。该分析确定了在多个小鼠品系中随CR而发生表达变化的组织特异性基因面板。我们用qPCR验证了一部分基因,并将其用于评估当给予2月龄C57BL/6J小鼠3个月时,潜在的CRM非诺贝特、吡格列酮、二甲双胍、白藜芦醇、槲皮素、2,4-二硝基苯酚和L-肉碱的效果。还评估了这些化合物调节先前已确定的CR生物标志物的能力,包括线粒体酶柠檬酸合酶和SIRT3、血浆炎性细胞因子TNF-α和IFN-γ、糖化血红蛋白(HbA1c)水平以及脂肪细胞大小。PPAR-γ激动剂吡格列酮和参与脂质代谢的氨基酸L-肉碱,对CR的新型转录标志物和所测试的其他CR生物标志物均显示出最强的作用。我们的研究结果提供了可用于鉴定新型CRM的CR组织特异性转录标志物面板,并且代表了对哺乳动物多个组织中几种潜在CRM的首次比较分子分析。

https://cdn.ncbi.nlm.nih.gov/pmc/blobs/69eb/5506434/3179e88e6639/ACEL-16-750-g001.jpg

文献AI研究员

20分钟写一篇综述,助力文献阅读效率提升50倍。

立即体验

用中文搜PubMed

大模型驱动的PubMed中文搜索引擎

马上搜索

文档翻译

学术文献翻译模型,支持多种主流文档格式。

立即体验