Suppr超能文献

单色蓝光对商品肉鸡热应激反应的调节作用。

Modulatory Effect of Monochromatic Blue Light on Heat Stress Response in Commercial Broilers.

机构信息

Department of Animal Wealth Development, Faculty of Veterinary Medicine, Kafrelsheikh University, Kafr El-Shaikh, Egypt.

Department of Animal Husbandry and Animal Wealth Development, Faculty of Veterinary Medicine, Alexandria University, Alexandria, Egypt.

出版信息

Oxid Med Cell Longev. 2017;2017:1351945. doi: 10.1155/2017/1351945. Epub 2017 Jun 18.

Abstract

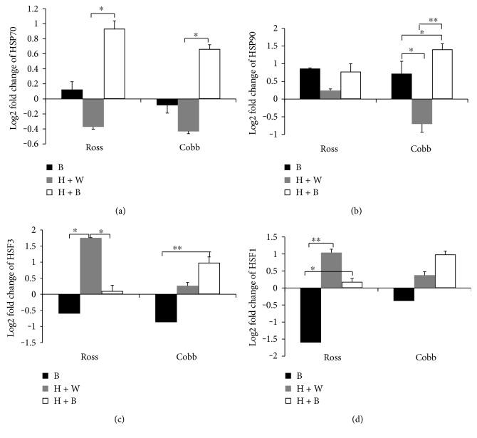
In a novel approach, monochromatic blue light was used to investigate its modulatory effect on heat stress biomarkers in two commercial broiler strains (Ross 308 and Cobb 500). At 21 days old, birds were divided into four groups including one group housed in white light, a second group exposed to blue light, a 3rd group exposed to white light + heat stress, and a 4th group exposed to blue light + heat stress. Heat treatment at 33°C lasted for five h for four successive days. Exposure to blue light during heat stress reduced MDA concentration and enhanced SOD and CAT enzyme activities as well as modulated their gene expression. Blue light also reduced the degenerative changes that occurred in the liver tissue as a result of heat stress. It regulated, though variably, liver , , , and gene expression among Ross and Cobb chickens. Moreover, the Cobb strain showed better performance than Ross manifested by a significant reduction of rectal temperature in the case of H + B. Furthermore, a significant linear relationship was found between the lowered rectal temperature and the expression of all HSP genes. Generally, the performance of both strains by most assessed parameters under heat stress is improved when using blue light.

摘要

在一种新颖的方法中,单色蓝光被用来研究其对两种商业肉鸡品系(罗斯 308 和科布 500)的热应激生物标志物的调节作用。在 21 天大时,将鸟类分为四组,包括一组暴露在白光下,一组暴露在蓝光下,一组暴露在白光+热应激下,一组暴露在蓝光+热应激下。持续五天的 33°C 热应激处理。在热应激期间暴露于蓝光会降低 MDA 浓度并增强 SOD 和 CAT 酶的活性,并调节它们的基因表达。蓝光还减轻了肝脏组织因热应激而发生的退行性变化。它调节了罗斯和科布鸡的肝脏、基因表达,但表达模式不同。此外,与罗斯相比,科布品系表现出更好的性能,表现为在 H+B 的情况下直肠温度显著降低。此外,还发现直肠温度降低与所有 HSP 基因的表达之间存在显著的线性关系。一般来说,在热应激下,使用蓝光可以提高两种品系的大多数评估参数的性能。

https://cdn.ncbi.nlm.nih.gov/pmc/blobs/2d71/5494062/915187541d83/OMCL2017-1351945.001.jpg

文献AI研究员

20分钟写一篇综述,助力文献阅读效率提升50倍。

立即体验

用中文搜PubMed

大模型驱动的PubMed中文搜索引擎

马上搜索

文档翻译

学术文献翻译模型,支持多种主流文档格式。

立即体验