Suppr超能文献

以柠檬酸三丁酯为增塑剂,由木薯淀粉制备生物塑料基绿色可再生复合材料及其表征

Preparation and Characterization of Bioplastic-Based Green Renewable Composites from Tapioca with Acetyl Tributyl Citrate as a Plasticizer.

作者信息

Tsou Chi-Hui, Suen Maw-Cherng, Yao Wei-Hua, Yeh Jen-Taut, Wu Chin-San, Tsou Chih-Yuan, Chiu Shih-Hsuan, Chen Jui-Chin, Wang Ruo Yao, Lin Shang-Ming, Hung Wei-Song, De Guzman Manuel, Hu Chien-Chieh, Lee Kueir-Rarn

机构信息

Department of Materials Science and Engineering, National Taiwan University of Science and Technology, No. 43, Sec. 4, Keelung Rd., Da'an Dist., Taipei 10607, Taiwan.

Research and Development Center for Membrane Technology, Department of Chemical Engineering, Chung Yuan University, Chung-Li 32023, Taiwan.

出版信息

Materials (Basel). 2014 Aug 4;7(8):5617-5632. doi: 10.3390/ma7085617.

Abstract

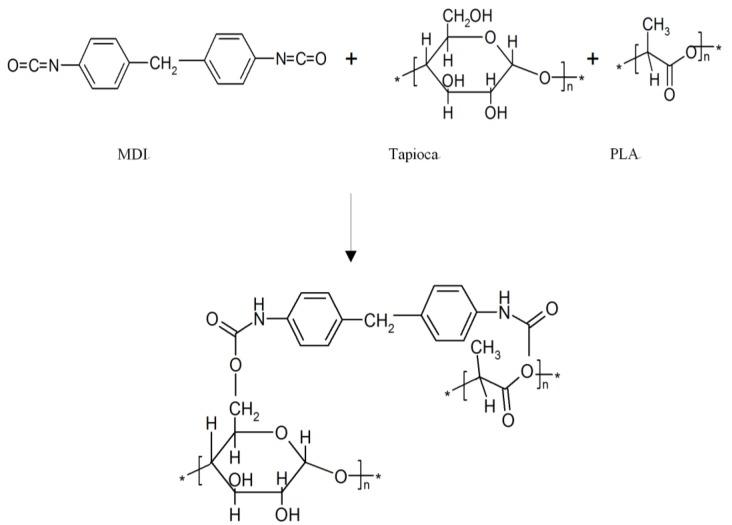
Granular tapioca was thermally blended with poly(lactic acid) (PLA). All blends were prepared using a plasti-corder and characterized for tensile properties, thermal properties and morphology. Scanning electron micrographs showed that phase separation occurred, leading to poor tensile properties. Therefore, methylenediphenyl diisocyanate (MDI) was used as an interfacial compatibilizer to improve the mechanical properties of PLA/tapioca blends. The addition of MDI could improve the tensile strength of the blend with 60 wt% tapioca, from 19.8 to 42.6 MPa. In addition, because PLA lacked toughness, acetyl tributyl citrate (ATBC) was added as a plasticizer to improve the ductility of PLA. A significant decrease in the melting point and glass-transition temperature was observed on the basis of differential scanning calorimetry, which indicated that the PLA structure was not dense after ATBC was added. As such, the brittleness was improved, and the elongation at break was extended to several hundred percent. Therefore, mixing ATBC with PLA/tapioca/MDI blends did exhibit the effect of plasticization and biodegradation. The results also revealed that excessive plasticizer would cause the migration of ATBC and decrease the tensile properties.

摘要

将颗粒状木薯淀粉与聚乳酸(PLA)进行热共混。所有共混物均使用塑料加工记录仪制备,并对其拉伸性能、热性能和形态进行表征。扫描电子显微镜照片显示发生了相分离,导致拉伸性能较差。因此,使用亚甲基二苯基二异氰酸酯(MDI)作为界面增容剂来改善PLA/木薯淀粉共混物的机械性能。添加MDI可使含60 wt%木薯淀粉的共混物的拉伸强度从19.8 MPa提高到42.6 MPa。此外,由于PLA缺乏韧性,添加柠檬酸三丁酯乙酰酯(ATBC)作为增塑剂来提高PLA的延展性。基于差示扫描量热法观察到熔点和玻璃化转变温度显著降低,这表明添加ATBC后PLA结构不致密。因此,脆性得到改善,断裂伸长率延长至数百%。因此,将ATBC与PLA/木薯淀粉/MDI共混物混合确实表现出增塑和生物降解的效果。结果还表明,过量的增塑剂会导致ATBC迁移并降低拉伸性能。

https://cdn.ncbi.nlm.nih.gov/pmc/blobs/4f4a/5456173/8389c043a18f/materials-07-05617-g001.jpg

文献AI研究员

20分钟写一篇综述,助力文献阅读效率提升50倍。

立即体验

用中文搜PubMed

大模型驱动的PubMed中文搜索引擎

马上搜索

文档翻译

学术文献翻译模型,支持多种主流文档格式。

立即体验