Suppr超能文献

用于光动力疗法的染料敏化剂

Dye Sensitizers for Photodynamic Therapy.

作者信息

Ormond Alexandra B, Freeman Harold S

机构信息

Fiber and Polymer Science Program, North Carolina State University, Raleigh, NC 27695-8301, USA.

出版信息

Materials (Basel). 2013 Mar 6;6(3):817-840. doi: 10.3390/ma6030817.

Abstract

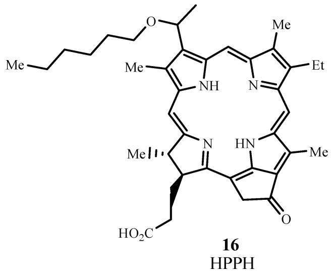
Photofrin was first approved in the 1990s as a sensitizer for use in treating cancer via photodynamic therapy (PDT). Since then a wide variety of dye sensitizers have been developed and a few have been approved for PDT treatment of skin and organ cancers and skin diseases such as . Porphyrinoid derivatives and precursors have been the most successful in producing requisite singlet oxygen, with Photofrin still remaining the most efficient sensitizer (quantum yield = 0.89) and having broad food and drug administration (FDA) approval for treatment of multiple cancer types. Other porphyrinoid compounds that have received approval from US FDA and regulatory authorities in other countries include benzoporphyrin derivative monoacid ring A (BPD-MA), -tetra(hydroxyphenyl)chlorin (-THPC), -aspartyl chlorin e6 (NPe6), and precursors to endogenous protoporphyrin IX (PpIX): 1,5-aminolevulinic acid (ALA), methyl aminolevulinate (MAL), hexaminolevulinate (HAL). Although no non-porphyrin sensitizer has been approved for PDT applications, a small number of anthraquinone, phenothiazine, xanthene, cyanine, and curcuminoid sensitizers are under consideration and some are being evaluated in clinical trials. This review focuses on the nature of PDT, dye sensitizers that have been approved for use in PDT, and compounds that have entered or completed clinical trials as PDT sensitizers.

摘要

光敏剂最初于20世纪90年代被批准用作通过光动力疗法(PDT)治疗癌症的敏化剂。从那时起,已经开发出了各种各样的染料敏化剂,其中一些已被批准用于PDT治疗皮肤癌、器官癌和皮肤病等。卟啉类衍生物和前体在产生所需的单线态氧方面最为成功,光敏剂仍然是最有效的敏化剂(量子产率 = 0.89),并且已获得美国食品药品监督管理局(FDA)对多种癌症类型治疗的广泛批准。其他已获得美国FDA和其他国家监管机构批准的卟啉类化合物包括苯并卟啉衍生物单酸环A(BPD-MA)、-四(羟苯基)氯卟啉(-THPC)、-天冬酰胺基氯卟啉e6(NPe6)以及内源性原卟啉IX(PpIX)的前体:1,5-氨基酮戊酸(ALA)、甲基氨基酮戊酸(MAL)、六氨基酮戊酸(HAL)。尽管尚无非卟啉敏化剂被批准用于PDT应用,但少数蒽醌、吩噻嗪、呫吨、花青和姜黄素类敏化剂正在被考虑,并且一些正在临床试验中进行评估。本综述重点关注PDT 的性质、已被批准用于PDT的染料敏化剂以及已作为PDT敏化剂进入或完成临床试验的化合物。

https://cdn.ncbi.nlm.nih.gov/pmc/blobs/1b18/5512801/9840f405d7a7/materials-06-00817-g001.jpg

文献AI研究员

20分钟写一篇综述,助力文献阅读效率提升50倍。

立即体验

用中文搜PubMed

大模型驱动的PubMed中文搜索引擎

马上搜索

文档翻译

学术文献翻译模型,支持多种主流文档格式。

立即体验