Suppr超能文献

白细胞 DNA 中 LINE-1 的高甲基化与高级别宫颈上皮内瘤变相关。

LINE-1 hypermethylation in white blood cell DNA is associated with high-grade cervical intraepithelial neoplasia.

机构信息

Department of Medical and Surgical Sciences and Advanced Technologies "GF Ingrassia", University of Catania, via S. Sofia, 87, 95121, Catania, Italy.

Oncopath s.r.l, Floridia, SR, Italy.

出版信息

BMC Cancer. 2017 Aug 30;17(1):601. doi: 10.1186/s12885-017-3582-0.

Abstract

BACKGROUND

Long Interspersed Nuclear Elements-1 (LINEs-1) methylation from white blood cells (WBCs) DNA has been proposed as biomarker associated with different types of cancer. The aim of the present study was to investigate the degree of WBCs LINE-1 methylation, according to high-risk Human Papilloma Virus (hrHPV) status in a healthy population, and the association with high-grade Cervical Intraepithelial Neoplasia (CIN2+) in hrHPV positive women.

METHODS

Women with abnormal cervical cells were enrolled and classified by histological diagnosis and hrHPV infection. A structured questionnaire was used to obtain information on socio-demographic variables and lifestyle factors. LINE-1 methylation level in WBCs was measured by pyrosequencing-based methylation analysis after bisulfite conversion.

RESULTS

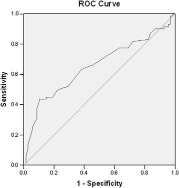
Among 252 women diagnosed with normal cervical epithelium, with regard to LINE-1 methylation level no significant difference was observed between hrHPV positive and hrHPV negative women, also adjusting for known risk factors of infection. The association between WBCs LINE-1 methylation and CIN2+ status was analyzed in hrHPV positive women. The median value of LINE-1 methylation levels was higher in cases (CIN2+) than in controls (75.00% versus 73.17%; p = 0.002). For a one-unit increase in LINE-1 methylation level, the odds of being diagnosed with CIN2+ increased by 10%, adjusting for known factors related to LINE-1 methylation (adjOR: 1.10; 95% CI:1.01-1.20; p = 0.032). The Receiver-Operating Characteristic (ROC) curve analysis identified the cut-off value of 73.8% as the best threshold to separate cases from controls (sensitivity: 63.4% and specificity: 61.8%).

CONCLUSIONS

LINE-1 methylation status in WBCs DNA may represent a cost-effective and tissue-accessible biomarker for high-grade CIN in hrHPV positive women. However, LINE-1 hypermethylation cannot be considered specific for cervical cancer (CC) and a model based solely on LINE-1 methylation levels has limited performance. Further investigations are necessary to propose and validate a novel methylation biomarker panel, based on LINE-1 methylation and other differentially methylated regions, for the screening of women at risk of CC.

摘要

背景

白细胞(WBC)DNA 中的长散在核元件-1(LINE-1)甲基化已被提议作为与不同类型癌症相关的生物标志物。本研究的目的是调查根据健康人群中高危型人乳头瘤病毒(hrHPV)的状态,WBCs LINE-1 甲基化的程度,以及与 hrHPV 阳性女性中高级别宫颈上皮内瘤变(CIN2+)的关联。

方法

入组并通过组织学诊断和 hrHPV 感染对异常宫颈细胞的女性进行分类。使用结构化问卷获得社会人口统计学变量和生活方式因素的信息。WBCs 中的 LINE-1 甲基化水平通过焦磷酸测序的甲基化分析后经亚硫酸氢盐转化来测量。

结果

在 252 名诊断为正常宫颈上皮的女性中,在考虑了已知的感染危险因素后,hrHPV 阳性和 hrHPV 阴性女性之间 LINE-1 甲基化水平没有差异。在 hrHPV 阳性女性中分析了 WBCs LINE-1 甲基化与 CIN2+状态之间的关系。CIN2+病例的 LINE-1 甲基化水平中位数高于对照组(75.00%比 73.17%;p=0.002)。LINE-1 甲基化水平增加一个单位,CIN2+诊断的几率增加 10%,调整与 LINE-1 甲基化相关的已知因素(调整优势比:1.10;95%置信区间:1.01-1.20;p=0.032)。接收器工作特征(ROC)曲线分析确定 73.8%的截断值是区分病例和对照组的最佳阈值(敏感性:63.4%和特异性:61.8%)。

结论

WBCs DNA 中的 LINE-1 甲基化状态可能代表一种经济有效的、组织可及的 hrHPV 阳性女性中高级别 CIN 的生物标志物。然而,LINE-1 高甲基化不能被认为是宫颈癌(CC)的特异性,并且仅基于 LINE-1 甲基化水平的模型性能有限。需要进一步的研究来提出并验证基于 LINE-1 甲基化和其他差异甲基化区域的新型甲基化生物标志物组,用于筛查有 CC 风险的女性。

https://cdn.ncbi.nlm.nih.gov/pmc/blobs/e4c8/5577847/76420cc249bc/12885_2017_3582_Fig1_HTML.jpg

文献AI研究员

20分钟写一篇综述,助力文献阅读效率提升50倍。

立即体验

用中文搜PubMed

大模型驱动的PubMed中文搜索引擎

马上搜索

文档翻译

学术文献翻译模型,支持多种主流文档格式。

立即体验