Suppr超能文献

低体表面积预测特发性肺纤维化患者尼达尼布的肝毒性。

Low body surface area predicts hepatotoxicity of nintedanib in patients with idiopathic pulmonary fibrosis.

机构信息

Kanagawa Cardiovascular and Respiratory Center, Department of Respiratory Medicine, Yokohama, 236-0051, Japan.

Yokohama-city University Graduate School of Medicine, Department of Pathology, Yokohama, 236-0004, Japan.

出版信息

Sci Rep. 2017 Sep 7;7(1):10811. doi: 10.1038/s41598-017-11321-x.

Abstract

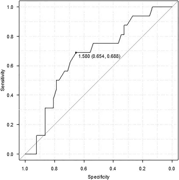
After the commercialization of nintedanib in Japan, a high incidence of hepatotoxicity resulting in treatment interruption was noted in idiopathic pulmonary fibrosis (IPF) patients treated with nintedanib in our hospital. This study aimed to clarify the risk factors for hepatotoxicity of nintedanib. Sixty-eight consecutive cases of IPF newly treated with nintedanib at a dose of 150 mg twice daily from September 2015 to September 2016 were enrolled: 46 patients (67.6%) exhibited aspartate aminotransferase (AST) and/or alanine aminotransferase (ALT) elevation and 16 patients (23.5%) also had a Common Terminology Criteria for Adverse Events (CTCAE) grade ≥2. Body surface area (BSA) was significantly lower in the CTCAE grade ≥2 group than in another group. A multivariate logistic regression analysis showed that the association between BSA and AST/ALT elevation with CTCAE grade ≥2 was statistically significant. Eight of 10 patients who resumed nintedanib at a reduced dose of 100 mg twice daily after interruption due to hepatotoxicity did not again develop AST/ALT elevation. In conclusion, a low BSA was associated with hepatotoxicity of nintedanib at a dose of 150 mg twice daily. It would be a good option for patients with a small physique to start nintedanib at a dose of 100 mg twice daily and then increase if possible after confirming its safety.

摘要

尼达尼布在日本商业化后,我们医院使用尼达尼布治疗特发性肺纤维化(IPF)患者时,注意到其肝毒性发生率较高,导致治疗中断。本研究旨在阐明尼达尼布肝毒性的危险因素。2015 年 9 月至 2016 年 9 月,我院连续收治了 68 例新接受尼达尼布治疗的 IPF 患者,剂量为 150mg,每日 2 次:46 例(67.6%)出现天门冬氨酸氨基转移酶(AST)和/或丙氨酸氨基转移酶(ALT)升高,16 例(23.5%)也出现了常见不良事件术语标准(CTCAE)分级≥2。CTCAE 分级≥2 组的体表面积(BSA)明显低于另一组。多变量逻辑回归分析显示,BSA 与 AST/ALT 升高与 CTCAE 分级≥2 之间存在关联。10 例因肝毒性中断治疗后恢复尼达尼布(剂量为 100mg,每日 2 次)的患者中,有 8 例再次未出现 AST/ALT 升高。总之,BSA 较低与尼达尼布 150mg,每日 2 次剂量的肝毒性相关。对于体型较小的患者,起始剂量为 100mg,每日 2 次,如果确认安全,可增加剂量,这是一个不错的选择。

https://cdn.ncbi.nlm.nih.gov/pmc/blobs/9ab3/5589740/6e9d550f6621/41598_2017_11321_Fig1_HTML.jpg

文献AI研究员

20分钟写一篇综述,助力文献阅读效率提升50倍。

立即体验

用中文搜PubMed

大模型驱动的PubMed中文搜索引擎

马上搜索

文档翻译

学术文献翻译模型,支持多种主流文档格式。

立即体验