Suppr超能文献

牛乳腺上皮细胞对……的固有免疫反应 。 你提供的原文似乎不完整,“to”后面缺少具体内容。

Innate immune response of bovine mammary epithelial cells to .

作者信息

Gondaira Satoshi, Higuchi Hidetoshi, Iwano Hidetomo, Nishi Koji, Nebu Takanori, Nakajima Keiichi, Nagahata Hajime

机构信息

Animal Health Laboratory, Graduate School of Veterinary Medicine, Rakuno Gakuen University, Ebetsu 069-8501, Japan.

Department of Veterinary Biochemistry, Graduate School of Veterinary Medicine, Rakuno Gakuen University, Ebetsu 069-8501, Japan.

出版信息

J Vet Sci. 2018 Jan 31;19(1):79-87. doi: 10.4142/jvs.2018.19.1.79.

Abstract

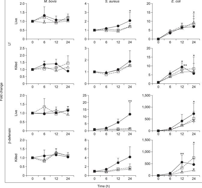
spp. are contagious bacteria, and mastitis is a serious productivity problem on dairy farms. Bovine mammary epithelial cells (bMECs) have an important role in the elimination of pathogens, but the effect of on bMECs has not been fully described. To elucidate the immune response against intramammary infection by , we undertook microarray analysis to examine and profile mRNA expression in bMECs after stimulation with . We also compared the effects of , and on immune-related mRNA expression in bMECs. Transcriptome analysis indicated a significant decrease in the level of mRNA-encoding lysine-specific demethylase 4D, suggesting that the immune response is suppressed by a decrease in histone demethylase activity. Interleukin (IL)-1β, IL-6, tumor necrosis factor alpha, toll-like receptor (TLR) 2, and TLR4 mRNA expression levels were significantly increased in bMECs stimulated with heat-killed , but the expression levels were lower than those following stimulation by heat-killed or . Our results suggest that weakly affects mRNA expression in bMECs compared to the effects of or . Moreover, live may induce suppression of the immune response in bMECs.

摘要

某些种属的细菌具有传染性,乳腺炎是奶牛场严重影响生产效率的问题。牛乳腺上皮细胞(bMECs)在清除病原体方面发挥着重要作用,但(此处原文中前面提到的某个因素)对bMECs的影响尚未得到充分描述。为了阐明针对(此处原文中前面提到的某个因素)引起的乳腺内感染的免疫反应,我们进行了微阵列分析,以检测(此处原文中前面提到的某个因素)刺激后bMECs中的mRNA表达并进行分析。我们还比较了(此处原文中前面提到的某个因素)、(此处原文中前面提到的另一个因素)和(此处原文中前面提到的再一个因素)对bMECs中免疫相关mRNA表达的影响。转录组分析表明,编码赖氨酸特异性去甲基化酶4D的mRNA水平显著下降,这表明免疫反应因组蛋白去甲基化酶活性降低而受到抑制。用热灭活的(此处原文中前面提到的某个因素)刺激bMECs后,白细胞介素(IL)-1β、IL-6、肿瘤坏死因子α、Toll样受体(TLR)2和TLR4的mRNA表达水平显著升高,但表达水平低于用热灭活的(此处原文中前面提到的另一个因素)或(此处原文中前面提到的再一个因素)刺激后的水平。我们的结果表明,与(此处原文中前面提到的另一个因素)或(此处原文中前面提到的再一个因素)相比,(此处原文中前面提到的某个因素)对bMECs中mRNA表达的影响较弱。此外,活的(此处原文中前面提到的某个因素)可能会诱导bMECs中免疫反应的抑制。

https://cdn.ncbi.nlm.nih.gov/pmc/blobs/516c/5799403/c247e33e9a85/jvs-19-79-g001.jpg

文献AI研究员

20分钟写一篇综述,助力文献阅读效率提升50倍。

立即体验

用中文搜PubMed

大模型驱动的PubMed中文搜索引擎

马上搜索

文档翻译

学术文献翻译模型,支持多种主流文档格式。

立即体验