Suppr超能文献

动脉粥样硬化性心血管疾病中的肠道微生物群

The gut microbiome in atherosclerotic cardiovascular disease.

作者信息

Jie Zhuye, Xia Huihua, Zhong Shi-Long, Feng Qiang, Li Shenghui, Liang Suisha, Zhong Huanzi, Liu Zhipeng, Gao Yuan, Zhao Hui, Zhang Dongya, Su Zheng, Fang Zhiwei, Lan Zhou, Li Junhua, Xiao Liang, Li Jun, Li Ruijun, Li Xiaoping, Li Fei, Ren Huahui, Huang Yan, Peng Yangqing, Li Guanglei, Wen Bo, Dong Bo, Chen Ji-Yan, Geng Qing-Shan, Zhang Zhi-Wei, Yang Huanming, Wang Jian, Wang Jun, Zhang Xuan, Madsen Lise, Brix Susanne, Ning Guang, Xu Xun, Liu Xin, Hou Yong, Jia Huijue, He Kunlun, Kristiansen Karsten

机构信息

BGI-Shenzhen, Shenzhen, 518083, China.

China National Genebank, Shenzhen, 518120, China.

出版信息

Nat Commun. 2017 Oct 10;8(1):845. doi: 10.1038/s41467-017-00900-1.

Abstract

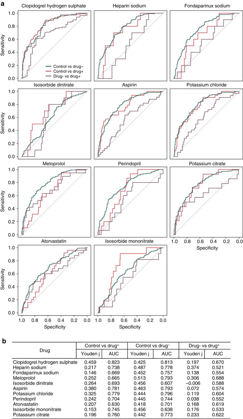
The gut microbiota has been linked to cardiovascular diseases. However, the composition and functional capacity of the gut microbiome in relation to cardiovascular diseases have not been systematically examined. Here, we perform a metagenome-wide association study on stools from 218 individuals with atherosclerotic cardiovascular disease (ACVD) and 187 healthy controls. The ACVD gut microbiome deviates from the healthy status by increased abundance of Enterobacteriaceae and Streptococcus spp. and, functionally, in the potential for metabolism or transport of several molecules important for cardiovascular health. Although drug treatment represents a confounding factor, ACVD status, and not current drug use, is the major distinguishing feature in this cohort. We identify common themes by comparison with gut microbiome data associated with other cardiometabolic diseases (obesity and type 2 diabetes), with liver cirrhosis, and rheumatoid arthritis. Our data represent a comprehensive resource for further investigations on the role of the gut microbiome in promoting or preventing ACVD as well as other related diseases.The gut microbiota may play a role in cardiovascular diseases. Here, the authors perform a metagenome-wide association study on stools from individuals with atherosclerotic cardiovascular disease and healthy controls, identifying microbial strains and functions associated with the disease.

摘要

肠道微生物群已被证明与心血管疾病有关。然而,肠道微生物组与心血管疾病相关的组成和功能能力尚未得到系统研究。在此,我们对218名患有动脉粥样硬化性心血管疾病(ACVD)的个体和187名健康对照的粪便进行了全基因组关联研究。ACVD患者的肠道微生物组与健康状态相比,肠杆菌科和链球菌属的丰度增加,在功能上,一些对心血管健康重要的分子的代谢或转运潜力也有所不同。尽管药物治疗是一个混杂因素,但ACVD状态而非当前的药物使用情况是该队列中的主要区别特征。我们通过与与其他心血管代谢疾病(肥胖和2型糖尿病)、肝硬化和类风湿性关节炎相关的肠道微生物组数据进行比较,确定了共同主题。我们的数据为进一步研究肠道微生物组在促进或预防ACVD以及其他相关疾病中的作用提供了全面的资源。肠道微生物群可能在心血管疾病中起作用。在此,作者对患有动脉粥样硬化性心血管疾病的个体和健康对照的粪便进行了全基因组关联研究,确定了与该疾病相关的微生物菌株和功能。

https://cdn.ncbi.nlm.nih.gov/pmc/blobs/54d8/5635030/2f62833fd2c9/41467_2017_900_Fig1_HTML.jpg

文献AI研究员

20分钟写一篇综述,助力文献阅读效率提升50倍。

立即体验

用中文搜PubMed

大模型驱动的PubMed中文搜索引擎

马上搜索

文档翻译

学术文献翻译模型,支持多种主流文档格式。

立即体验