Suppr超能文献

基层医疗中即时药敏试验对单纯性尿路感染患者抗生素合理处方的影响:一项诊断性随机对照试验。

Effect of point-of-care susceptibility testing in general practice on appropriate prescription of antibiotics for patients with uncomplicated urinary tract infection: a diagnostic randomised controlled trial.

作者信息

Holm Anne, Cordoba Gloria, Møller Sørensen Tina, Rem Jessen Lisbeth, Frimodt-Møller Niels, Siersma Volkert, Bjerrum Lars

机构信息

Research Unit for General Practice and Department of General Practice, University of Copenhagen, Copenhagen K, Denmark.

Department of Veterinary Clinical and Animal Sciences, University of Copenhagen, Copenhagen, Denmark.

出版信息

BMJ Open. 2017 Oct 16;7(10):e018028. doi: 10.1136/bmjopen-2017-018028.

Abstract

OBJECTIVES

To investigate the effect of adding point-of-care (POC) susceptibility testing to POC culture on appropriate use of antibiotics as well as clinical and microbiological cure for patients with suspected uncomplicated urinary tract infection (UTI) in general practice.

DESIGN

Open, individually randomised controlled trial.

SETTING

General practice.

PARTICIPANTS

Women with suspected uncomplicated UTI, including elderly patients above 65, patients with recurrent UTI and patients with diabetes. The sample size calculation predicted 600 patients were needed.

INTERVENTIONS

Flexicult SSI-Urinary Kit was used for POC culture and susceptibility testing and ID Flexicult was used for POC culture only.

MAIN OUTCOME MEASURES

Primary outcome: appropriate antibiotic prescribing on the day after consultation defined as either (1) patient with UTI: to prescribe a first-line antibiotic to which the infecting pathogen was susceptible or a second line if a first line could not be used or (2) patient without UTI: not to prescribe an antibiotic. UTI was defined by typical symptoms and significant growth in a reference urine culture performed at one of two external laboratories.

SECONDARY OUTCOMES

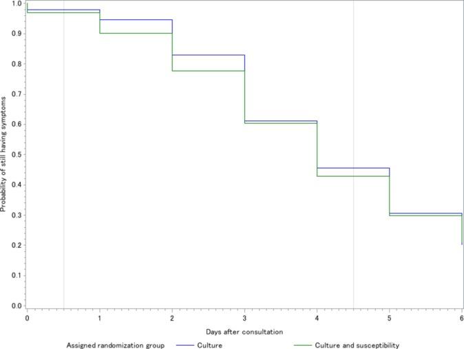
clinical cure on day five according to a 7-day symptom diary and microbiological cure on day 14. Logistic regression models taking into account clustering within practices were used for analysis.

RESULTS

20 general practices recruited 191 patients for culture and susceptibility testing and 172 for culture only. 63% of the patients had UTI and 12% of these were resistant to the most commonly used antibiotic, pivmecillinam. Patients randomised to culture only received significantly more appropriate treatment (OR: 1.44 (95% CI 1.03 to 1.99), p=0.03). There was no significant difference in clinical or microbiological cure.

CONCLUSIONS

Adding POC susceptibility testing to POC culture did not improve antibiotic prescribing for patients with suspected uncomplicated UTI in general practice. Susceptibility testing should be reserved for patients at high risk of resistance and complications.

TRIAL REGISTRATION NUMBER

NCT02323087; Results.

摘要

目的

探讨在即时检验(POC)培养基础上增加POC药敏试验,对基层医疗中疑似单纯性尿路感染(UTI)患者合理使用抗生素以及临床和微生物学治愈情况的影响。

设计

开放、个体随机对照试验。

地点

基层医疗。

参与者

疑似单纯性UTI的女性,包括65岁以上老年患者、复发性UTI患者和糖尿病患者。样本量计算预计需要600名患者。

干预措施

使用Flexicult SSI - 尿液试剂盒进行POC培养和药敏试验,仅使用ID Flexicult进行POC培养。

主要结局指标

主要结局:会诊后次日合理使用抗生素,定义为:(1)UTI患者:开具感染病原体敏感的一线抗生素,若无法使用一线抗生素则开具二线抗生素;(2)非UTI患者:不开具抗生素。UTI由典型症状及在两个外部实验室之一进行的参考尿培养中的显著菌生长来定义。

次要结局

根据7天症状日记在第5天的临床治愈情况以及在第14天的微生物学治愈情况。采用考虑诊所内聚类的逻辑回归模型进行分析。

结果

20家基层医疗机构招募了191名患者进行培养和药敏试验,172名患者仅进行培养。63%的患者患有UTI,其中12%对最常用抗生素匹美西林耐药。随机分配仅进行培养的患者接受了显著更合适的治疗(比值比:1.44(95%置信区间1.03至1.99),p = 0.03)。临床或微生物学治愈方面无显著差异。

结论

在基层医疗中,在POC培养基础上增加POC药敏试验并未改善疑似单纯性UTI患者的抗生素处方。药敏试验应保留给有耐药和并发症高风险的患者。

试验注册号

NCT02323087;结果

https://cdn.ncbi.nlm.nih.gov/pmc/blobs/d692/5652479/8a44f24bbb47/bmjopen-2017-018028f01.jpg

文献AI研究员

20分钟写一篇综述,助力文献阅读效率提升50倍。

立即体验

用中文搜PubMed

大模型驱动的PubMed中文搜索引擎

马上搜索

文档翻译

学术文献翻译模型,支持多种主流文档格式。

立即体验