Suppr超能文献

成肌细胞中核纤层蛋白A/C与肌肉基因特异性启动子的关联。

Association of lamin A/C with muscle gene-specific promoters in myoblasts.

作者信息

Athar Fathima, Parnaik Veena K

机构信息

CSIR-Centre for Cellular and Molecular Biology, Uppal Road, Hyderabad, India.

出版信息

Biochem Biophys Rep. 2015 Aug 29;4:76-82. doi: 10.1016/j.bbrep.2015.08.021. eCollection 2015 Dec.

Abstract

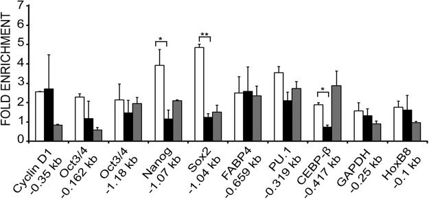
The A-type and B-type lamins form a filamentous meshwork underneath the inner nuclear membrane called the nuclear lamina, which is an important component of nuclear architecture in metazoan cells. The lamina interacts with large, mostly repressive chromatin domains at the nuclear periphery. In addition, genome-lamina interactions also involve dynamic association of lamin A/C with gene promoters in adipocytes. Mutations in the human lamin A gene cause a spectrum of hereditary diseases called the laminopathies which affect muscle, cardiac and adipose tissues. Since most mutations in lamin A/C affect skeletal muscle, we investigated lamin-chromatin interactions at promoters of muscle specific genes in both muscle and non-muscle cell lines by ChIP-qPCR. We observed that lamin A/C was specifically associated with promoter regions of muscle genes in myoblasts but not in fibroblasts. Lamin A/C dissociated from the promoter regions of the differentiation specific MyoD, myogenin and muscle creatine kinase genes when myoblasts were induced to differentiate. In the promoter regions of the myogenin and MyoD genes, the binding of lamin A/C in myoblasts inversely correlated with the active histone mark, H3K4me3. Lamin A/C binding on muscle genes was reduced and differentiation potential was enhanced on treatment of myoblasts with a histone deacetylase inhibitor. These findings suggest a role for lamina-chromatin interactions in muscle differentiation and have important implications for the pathological mechanisms of striated muscle associated laminopathies.

摘要

A 型和 B 型核纤层蛋白在核内膜下方形成一个丝状网络,称为核纤层,它是后生动物细胞核结构的重要组成部分。核纤层与核周大多具有抑制作用的大型染色质结构域相互作用。此外,基因组与核纤层的相互作用还涉及脂肪细胞中核纤层蛋白 A/C 与基因启动子的动态关联。人类核纤层蛋白 A 基因的突变会导致一系列称为核纤层病的遗传性疾病,这些疾病会影响肌肉、心脏和脂肪组织。由于核纤层蛋白 A/C 的大多数突变影响骨骼肌,我们通过染色质免疫沉淀定量聚合酶链反应(ChIP-qPCR)研究了肌肉和非肌肉细胞系中肌肉特异性基因启动子处的核纤层蛋白与染色质的相互作用。我们观察到,核纤层蛋白 A/C 在成肌细胞中与肌肉基因的启动子区域特异性相关,但在成纤维细胞中则不然。当成肌细胞被诱导分化时,核纤层蛋白 A/C 从分化特异性的肌分化决定因子(MyoD)、肌细胞生成素和肌肉肌酸激酶基因的启动子区域解离。在肌细胞生成素和 MyoD 基因的启动子区域,成肌细胞中核纤层蛋白 A/C 的结合与活性组蛋白标记 H3K4me3 呈负相关。用组蛋白去乙酰化酶抑制剂处理成肌细胞后,核纤层蛋白 A/C 在肌肉基因上的结合减少,分化潜能增强。这些发现表明核纤层与染色质的相互作用在肌肉分化中起作用,并且对与横纹肌相关的核纤层病的病理机制具有重要意义。

https://cdn.ncbi.nlm.nih.gov/pmc/blobs/de2f/5668900/71cffd29c0e5/gr1.jpg

文献AI研究员

20分钟写一篇综述,助力文献阅读效率提升50倍。

立即体验

用中文搜PubMed

大模型驱动的PubMed中文搜索引擎

马上搜索

文档翻译

学术文献翻译模型,支持多种主流文档格式。

立即体验