Suppr超能文献

用于能量存储的纳米结构二氧化锰作为电极材料。

Nanostructured MnO₂ as Electrode Materials for Energy Storage.

作者信息

Julien Christian M, Mauger Alain

机构信息

Institut de Minéralogie, de Physique des Matériaux et de Cosmochimie (IMPMC), Unité Mixte de Recherche 7590, Sorbonne Universités, 75005 Paris, France.

出版信息

Nanomaterials (Basel). 2017 Nov 17;7(11):396. doi: 10.3390/nano7110396.

Abstract

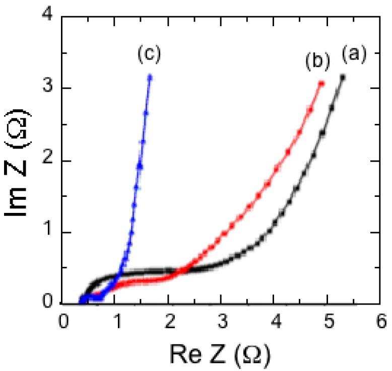
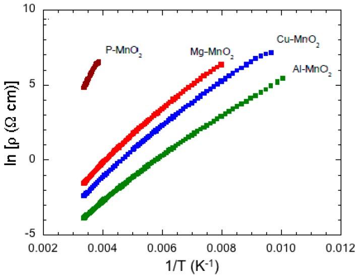
Manganese dioxides, inorganic materials which have been used in industry for more than a century, now find great renewal of interest for storage and conversion of energy applications. In this review article, we report the properties of MnO₂ nanomaterials with different morphologies. Techniques used for the synthesis, structural, physical properties, and electrochemical performances of periodic and aperiodic frameworks are discussed. The effect of the morphology of nanosized MnO₂ particles on their fundamental features is evidenced. Applications as electrodes in lithium batteries and supercapacitors are examined.

摘要

二氧化锰,作为一种已在工业中使用了一个多世纪的无机材料,如今在能量存储与转换应用方面重新引发了极大的关注。在这篇综述文章中,我们报道了具有不同形态的MnO₂纳米材料的特性。讨论了用于合成周期性和非周期性框架结构的技术、结构、物理性质以及电化学性能。纳米尺寸的MnO₂颗粒形态对其基本特性的影响得到了证实。同时还研究了其在锂电池和超级电容器中作为电极的应用。

https://cdn.ncbi.nlm.nih.gov/pmc/blobs/47ad/5707613/95f01938d091/nanomaterials-07-00396-g001.jpg

文献AI研究员

20分钟写一篇综述,助力文献阅读效率提升50倍。

立即体验

用中文搜PubMed

大模型驱动的PubMed中文搜索引擎

马上搜索

文档翻译

学术文献翻译模型,支持多种主流文档格式。

立即体验