Suppr超能文献

肾癌患者的婚姻状况与生存率

Marital status and survival of patients with kidney cancer.

作者信息

Miao Tingru, Li Yufeng, Sheng Xiaoli, Yao Dingguo

机构信息

First Affiliated Hospital of Zhejiang Chinese Medical University, Hangzhou, China.

出版信息

Oncotarget. 2017 Sep 16;8(49):86157-86167. doi: 10.18632/oncotarget.21029. eCollection 2017 Oct 17.

Abstract

BACKGROUND

The relationship between marital status and prognosis of kidney cancer has not been explored in detail. In this study, we aimed to investigate the impact of marital status on survival outcomes in kidney cancer.

METHODS

We used the Surveillance, Epidemiology and End Results (SEER) program to identify 112860 patients with kidney cancer diagnosed in 2004 through 2013. Kaplan-Meier methods and multivariable Cox regression models were used to analyze the influence of marital status on overall survival (OS) and cancer-specific survival (CSS).

RESULTS

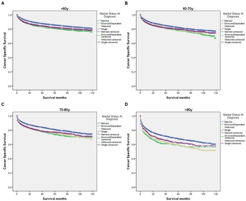
Married patients had better 5-year OS and CSS compared with patients who were divorced/separated, widowed, and single. After adjusting for known confounders, unmarried patients were at greater risk of overall and cancer-specific mortality, especially the widowed. Moreover, subgroup analysis showed that married still had better prognosis across different SEER stages, ages and sexes.

CONCLUSIONS

Our study revealed that marriage is associated with better outcomes of both OS and CSS in kidney cancer patients.

摘要

背景

肾癌的婚姻状况与预后之间的关系尚未得到详细探讨。在本研究中,我们旨在调查婚姻状况对肾癌患者生存结局的影响。

方法

我们使用监测、流行病学和最终结果(SEER)计划,确定了2004年至2013年期间诊断出的112860例肾癌患者。采用Kaplan-Meier方法和多变量Cox回归模型分析婚姻状况对总生存期(OS)和癌症特异性生存期(CSS)的影响。

结果

与离婚/分居、丧偶和单身患者相比,已婚患者的5年总生存期和癌症特异性生存期更好。在调整已知混杂因素后,未婚患者的全因死亡率和癌症特异性死亡率更高,尤其是丧偶患者。此外,亚组分析表明,在不同的SEER分期、年龄和性别中,已婚患者的预后仍然更好。

结论

我们的研究表明,婚姻与肾癌患者更好的总生存期和癌症特异性生存期结局相关。

https://cdn.ncbi.nlm.nih.gov/pmc/blobs/f446/5689674/b88149316c9f/oncotarget-08-86157-g001.jpg

文献AI研究员

20分钟写一篇综述,助力文献阅读效率提升50倍。

立即体验

用中文搜PubMed

大模型驱动的PubMed中文搜索引擎

马上搜索

文档翻译

学术文献翻译模型,支持多种主流文档格式。

立即体验