Suppr超能文献

喀麦隆无症状初治HIV感染患者的隐球菌抗原筛查及新型半定量Biosynex CryptoPS检测评估

Cryptococcal Antigen Screening in Asymptomatic HIV-Infected Antiretroviral Naïve Patients in Cameroon and Evaluation of the New Semi-Quantitative Biosynex CryptoPS Test.

作者信息

Temfack Elvis, Kouanfack Charles, Mossiang Leonella, Loyse Angela, Fonkoua Marie C, Molloy Síle F, Koulla-Shiro Sinata, Delaporte Eric, Dromer Françoise, Harrison Thomas, Lortholary Olivier

机构信息

Institut Pasteur, Centre National de la Recherche Scientifique, Unité de Mycologie Moléculaire, UMR 2000, Paris, France.

Department of Internal Medicine, Douala General Hospital, Douala, Cameroon.

出版信息

Front Microbiol. 2018 Mar 13;9:409. doi: 10.3389/fmicb.2018.00409. eCollection 2018.

Abstract

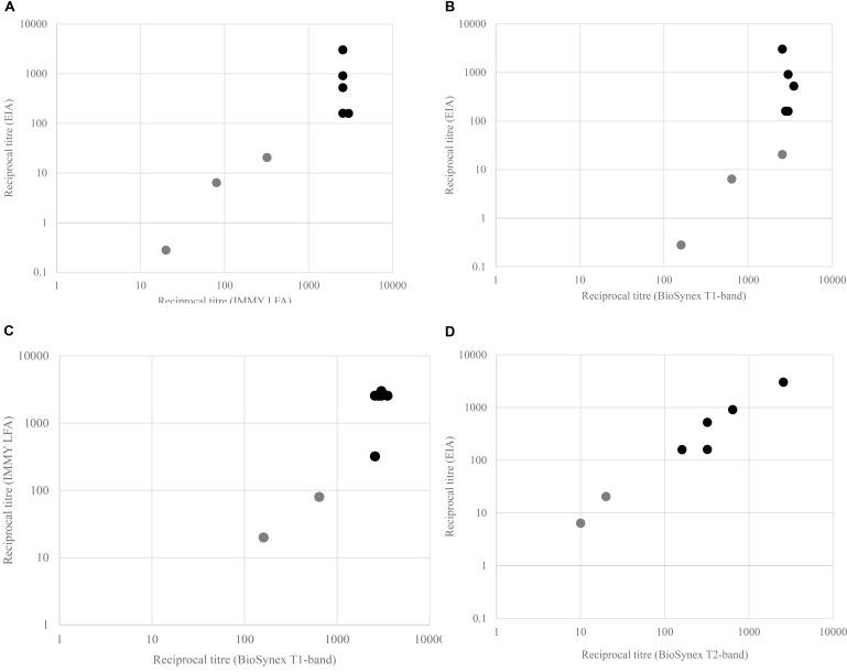
Cryptococcal meningitis (CM) is a major cause of AIDS-related mortality in Africa. Detection of serum cryptococcal antigen (CrAg) predicts development of CM in antiretroviral (ART) naïve HIV-infected patients with severe immune depression. Systematic pre-ART CrAg screening and pre-emptive oral fluconazole is thus recommended. We postulated that a semi-quantitative CrAg screening approach could offer clinically relevant advantages. ART-naïve asymptomatic adult outpatients with <100 CD cells/mm presenting to the Yaoundé Central Hospital, Cameroon were screened for CrAg using the IMMY lateral flow assay (LFA). CrAg positive patients were consented for lumbar puncture and those with proven CM were treated with combination antifungal therapy and those with no CM were offered long-term oral fluconazole. Simultaneous on-site evaluation of CrAg detection using the new LFA Biosynex CryptoPS test was performed and both tests were subsequently compared to a reference commercialized CrAg enzyme immunoassay (EIA). Prevalence of serum CrAg in 186 screened adults was 7.5% (95%CI: 4.5-12.4). In CrAg positive patients, CM prevalence was 45.5% (95%CI: 18.3-75.7). IMMY and Biosynex CryptoPS strongly agreed in serum, plasma, and cerebrospinal fluid (Kappa: 98.4, 99.5, 100%, respectively, p < 0.001), and disagreed in urine (29 isolated positive CrAg in urine with IMMY, none with Biosynex and none of whom had proven CM). Compared to EIA, serum specificities were 96.6 and 98.3%, respectively. With Biosynex CryptoPS, all CM patients were serum T2-band positive compared to nonewithout CM. Median EIA reciprocal titre was 160 (IQR: 13.5-718.8) and titres >160 strongly correlated with proven CM and Biosynex CryptoPS T2-band positivity. During the 1-year follow up period, there was no incident case of CM among screened patients and overall incidence of all-cause mortality was 31.5 per 100 person-years-at-risk (95%CI: 23.0-43.1). HIV-associated asymptomatic cryptococcosis is common in Cameroon, warranting integrated systematic screening and treatment. Biosynex CryptoPS holds promise, at point of care, for rapidly stratifying CrAg positive patients for optimal management including lumbar puncture and combination antifungal therapy when needed. Prevalence of CrAg and meningitis (CM) is high in Cameroon. Biosynex CryptoPS is comparable to IMMY LFA in CrAg screening. Its T2-band correlates with high antigen titres and CM, thus promising for identifying patients requiring effective induction therapy. This study was presented in part at the 10th International Conference on Cryptococcus and Cryptococcosis (ICCC) in Iguazu in Brazil from 26 to 30 March 2017 and won a prize oral presentation.

摘要

隐球菌性脑膜炎(CM)是非洲艾滋病相关死亡的主要原因。血清隐球菌抗原(CrAg)检测可预测未接受抗逆转录病毒治疗(ART)且免疫严重抑制的HIV感染患者发生CM的情况。因此,建议进行系统性的ART前CrAg筛查和预防性口服氟康唑治疗。我们推测半定量CrAg筛查方法可能具有临床相关优势。在喀麦隆雅温得中心医院,对CD4细胞计数<100个/mm³的未接受ART治疗的无症状成年门诊患者使用IMMY侧向流动分析法(LFA)进行CrAg筛查。CrAg阳性患者同意进行腰椎穿刺,确诊为CM的患者接受联合抗真菌治疗,未患CM的患者接受长期口服氟康唑治疗。同时使用新型LFA Biosynex CryptoPS检测对CrAg检测进行现场评估,随后将两种检测方法与参考商业化CrAg酶免疫测定法(EIA)进行比较。186名接受筛查的成年人中血清CrAg的患病率为7.5%(95%CI:4.5 - 12.4)。在CrAg阳性患者中,CM患病率为45.5%(95%CI:18.3 - 75.7)。IMMY和Biosynex CryptoPS在血清、血浆和脑脊液中一致性很强(kappa值分别为98.4%、99.5%、100%,p < 0.001),在尿液中存在差异(IMMY检测尿液中有29例CrAg单独阳性,Biosynex检测均为阴性,且这些患者均未确诊为CM)。与EIA相比,血清特异性分别为96.6%和98.3%。使用Biosynex CryptoPS检测时,所有CM患者血清T2带均为阳性,而未患CM的患者均为阴性。EIA的中位倒数滴度为160(IQR:13.5 - 718.8),滴度>160与确诊的CM和Biosynex CryptoPS T2带阳性密切相关。在1年的随访期内,筛查患者中未出现CM病例,全因死亡率的总体发生率为每100人年31.5例(95%CI:23.0 - 43.1)。HIV相关无症状隐球菌病在喀麦隆很常见,需要进行综合系统的筛查和治疗。Biosynex CryptoPS有望在护理点迅速对CrAg阳性患者进行分层,以便进行最佳管理,包括在需要时进行腰椎穿刺和联合抗真菌治疗。喀麦隆CrAg和脑膜炎(CM)的患病率很高。Biosynex CryptoPS在CrAg筛查方面与IMMY LFA相当。其T2带与高抗原滴度和CM相关,因此有望识别需要有效诱导治疗的患者。本研究部分内容于2017年3月26日至30日在巴西伊瓜苏举行的第10届隐球菌与隐球菌病国际会议(ICCC)上发表,并获得了优秀口头报告奖。

https://cdn.ncbi.nlm.nih.gov/pmc/blobs/9e9f/5859387/cc10224c14f6/fmicb-09-00409-g001.jpg

文献AI研究员

20分钟写一篇综述,助力文献阅读效率提升50倍。

立即体验

用中文搜PubMed

大模型驱动的PubMed中文搜索引擎

马上搜索

文档翻译

学术文献翻译模型,支持多种主流文档格式。

立即体验