Suppr超能文献

一种新型锌指蛋白转录因子的过表达提高了水稻的耐寒性。

Overexpression of a New Zinc Finger Protein Transcription Factor Improves Cold Tolerance in Rice.

作者信息

Jin Yong-Mei, Piao Rihua, Yan Yong-Feng, Chen Mojun, Wang Ling, He Hongxia, Liu Xiaoxiao, Gao Xing-Ai, Jiang Wenzhu, Lin Xiu-Feng

机构信息

Jilin Academy of Agricultural Sciences, Changchun, China.

Jilin University, Changchun, China.

出版信息

Int J Genomics. 2018 May 23;2018:5480617. doi: 10.1155/2018/5480617. eCollection 2018.

Abstract

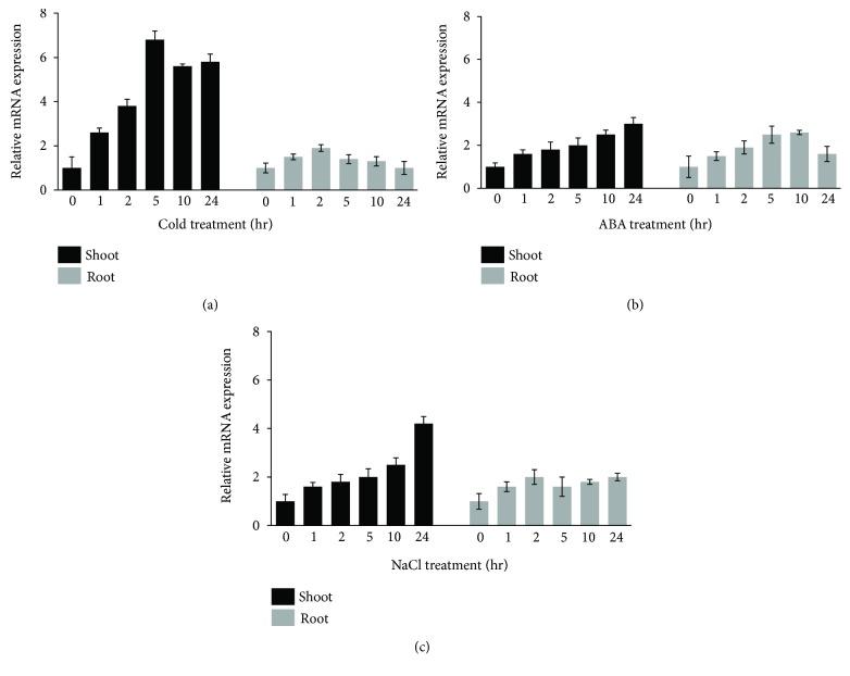
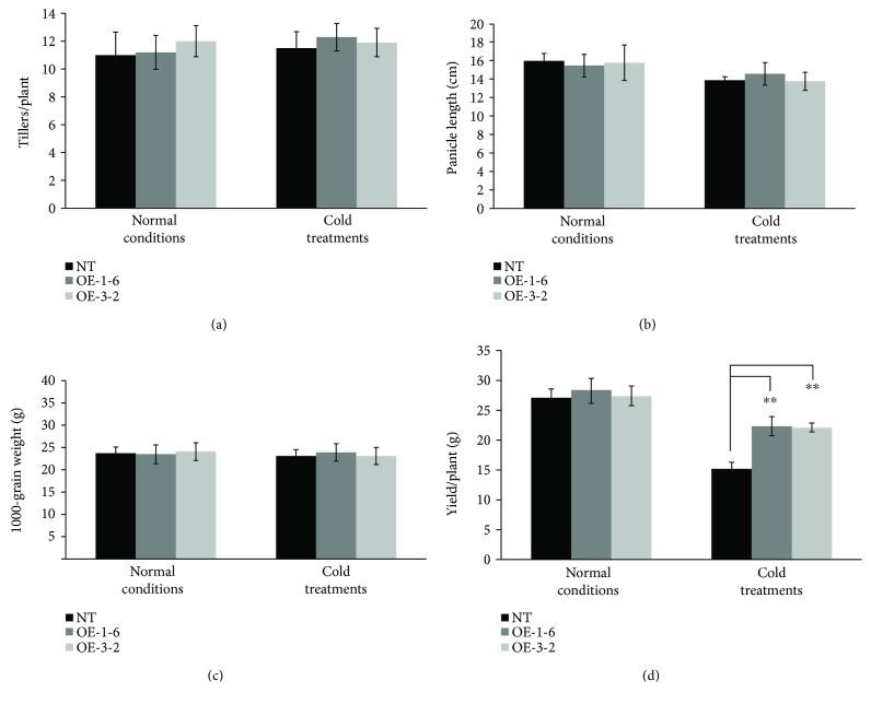
Cold stress is one of the most important abiotic stresses in rice. CH zinc finger proteins play important roles in response to abiotic stresses in plants. In the present study, we isolated and functionally characterized a new CH zinc finger protein transcription factor in rice. encodes a CH zinc finger protein, which contains a typical zinc finger motif, as well as a potential nuclear localization signal (NLS) and a leucine-rich region (L-box). Expression of was differentially induced by several abiotic stresses and was strongly induced by cold stress. Subcellular localization assay and yeast one-hybrid analysis revealed that OsCTZFP8 was a nuclear protein and has transactivation activity. To characterize the function of in rice, the full-length cDNA of was isolated and transgenic rice with overexpression of driven by the maize ubiquitin promoter was generated using -mediated transformation. Among 46 independent transgenic lines, 6 single-copy homozygous overexpressing lines were selected by Southern blot analysis and Basta resistance segregation assay in both T and T generations. Transgenic rice overexpressing exhibited cold tolerant phenotypes with significantly higher pollen fertilities and seed setting rates than nontransgenic control plants. In addition, yield per plant of -expressing lines was significantly ( < 0.01) higher than that of nontransgenic control plants under cold treatments. These results demonstrate that was a CH zinc finger transcription factor that plays an important role in cold tolerance in rice.

摘要

冷胁迫是水稻最重要的非生物胁迫之一。CH锌指蛋白在植物对非生物胁迫的响应中发挥重要作用。在本研究中,我们在水稻中分离并鉴定了一种新的CH锌指蛋白转录因子。该因子编码一种CH锌指蛋白,其含有一个典型的锌指基序,以及一个潜在的核定位信号(NLS)和一个富含亮氨酸的区域(L-box)。该因子的表达受到多种非生物胁迫的差异诱导,并在冷胁迫下强烈诱导。亚细胞定位分析和酵母单杂交分析表明,OsCTZFP8是一种核蛋白,具有反式激活活性。为了鉴定该因子在水稻中的功能,分离了其全长cDNA,并通过农杆菌介导的转化产生了由玉米泛素启动子驱动的过表达该因子的转基因水稻。在46个独立的转基因株系中,通过Southern杂交分析和T1和T2代的Basta抗性分离分析,筛选出6个单拷贝纯合过表达株系。过表达该因子的转基因水稻表现出耐冷表型,其花粉育性和结实率显著高于非转基因对照植株。此外,在冷处理下,过表达该因子的株系单株产量显著(P<0.01)高于非转基因对照植株。这些结果表明,该因子是一种CH锌指转录因子,在水稻耐冷性中发挥重要作用。

https://cdn.ncbi.nlm.nih.gov/pmc/blobs/d63a/5989172/4a3cc36e194f/IJG2018-5480617.001.jpg

文献AI研究员

20分钟写一篇综述,助力文献阅读效率提升50倍。

立即体验

用中文搜PubMed

大模型驱动的PubMed中文搜索引擎

马上搜索

文档翻译

学术文献翻译模型,支持多种主流文档格式。

立即体验