Suppr超能文献

基于智能手机的微流控比色传感器用于高灵敏度和选择性的气态甲醛测定。

Smartphone-Based Microfluidic Colorimetric Sensor for Gaseous Formaldehyde Determination with High Sensitivity and Selectivity.

机构信息

College of Information Science and Technology, Beijing University of Chemical Technology, Beijing 100029, China.

Institute of Microelectronics, Tsinghua University, Beijing 100084, China.

出版信息

Sensors (Basel). 2018 Sep 18;18(9):3141. doi: 10.3390/s18093141.

Abstract

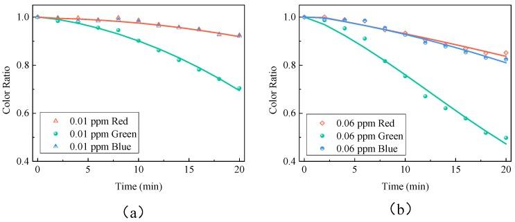
Formaldehyde is one of the most dangerous air pollutants, which can cause sick building syndrome. Thus, it is very crucial to precisely determine formaldehyde with a low cost and simple operation. In this paper, a smartphone-based microfluidic colorimetric sensor is devised for gaseous formaldehyde determination with high sensitivity and selectivity. Specifically, a novel microfluidic chip is proposed based on the 4-aminohydrazine-5-mercapto-1,2,4-triazole (AHMT) method to determine formaldehyde; the chip consists of two reagent reservoirs, one reaction reservoir and a mixing column. In this design to prevent the fluid from flowing out while letting the gas molecule in, a hydrophobic porous poly tetra fluoroethylene (PTFE) membrane is put on the top of the reaction reservoir. Using the microfluidic chip sensor, a smartphone-based formaldehyde determination system is developed, which makes the measuring process automated and simple. As per the experiment results, the limit-of-detection (LOD) of the system is as low as 0.01 ppm, which is much lower than the maximum exposure concentration (0.08 ppm) recommended by the World Health Organization (WHO). Moreover, the sensor is hardly affected by acetaldehyde, volatile organic compounds (VOCs) or acidic-alkaline, which shows great selectivity. Finally, the performance of the proposed sensor is verified by using it for the determination of formaldehyde in a newly decorated house.

摘要

甲醛是最危险的空气污染物之一,会导致病态建筑综合征。因此,用低成本和简单的操作精确地测定甲醛非常重要。在本文中,设计了一种基于智能手机的微流控比色传感器,用于高灵敏度和选择性地测定气态甲醛。具体来说,基于 4-氨基-3-巯基-1,2,4-三氮唑(AHMT)法提出了一种新颖的微流控芯片来测定甲醛;该芯片由两个试剂储液器、一个反应储液器和一个混合柱组成。在这个设计中,为了防止液体流出而让气体分子进入,在反应储液器的顶部放置了一层疏水多孔聚四氟乙烯(PTFE)膜。利用微流控芯片传感器,开发了一种基于智能手机的甲醛测定系统,使测量过程自动化和简单化。根据实验结果,该系统的检测限(LOD)低至 0.01ppm,远低于世界卫生组织(WHO)建议的最大暴露浓度(0.08ppm)。此外,该传感器几乎不受乙醛、挥发性有机化合物(VOCs)或酸碱的影响,具有很好的选择性。最后,通过用该传感器测定新装修房屋中的甲醛,验证了所提出传感器的性能。

https://cdn.ncbi.nlm.nih.gov/pmc/blobs/a134/6165092/3c6ace222d26/sensors-18-03141-g001.jpg

文献AI研究员

20分钟写一篇综述,助力文献阅读效率提升50倍。

立即体验

用中文搜PubMed

大模型驱动的PubMed中文搜索引擎

马上搜索

文档翻译

学术文献翻译模型,支持多种主流文档格式。

立即体验