Suppr超能文献

新型大环五肽作为抗癌多靶点激酶抑制剂的设计、合成及对接研究。

Design, Synthesis and Docking Studies of Novel Macrocyclic Pentapeptides as Anticancer Multi-Targeted Kinase Inhibitors.

机构信息

Pharmaceutical Chemistry Department, Drug Exploration & Development Chair (DEDC), College of Pharmacy, King Saud University, Riyadh 11451, Saudi Arabia.

Applied Organic Chemistry Department, National Research Centre, 12622 Dokki, Giza, Egypt.

出版信息

Molecules. 2018 Sep 20;23(10):2416. doi: 10.3390/molecules23102416.

Abstract

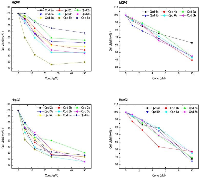
A series of macrocyclic pyrido-pentapeptide candidates ⁻ were synthesized by using ,-bis-[1-carboxy-2-(benzyl)]-2,6-(diaminocarbonyl)pyridine , as starting material. Structures of the newly synthesized compounds were established by IR, ¹H and C-NMR, and MS spectral data and elemental analysis. The in-vitro cytotoxicity activity was investigated for all compounds against MCF-7 and HepG-2 cell lines and the majority of the compounds showed potent anticancer activity against the tested cell lines in comparison with the reference drugs. Out of the macrocyclic pyrido-pentapeptide based compounds, showed encouraging inhibitory activity on MCF-7 and HepG-2 cell lines with IC values 9.41 ± 1.25 and 7.53 ± 1.33 μM, respectively. Interestingly, also demonstrated multitarget profile and excellent inhibitory activity towards VEGFR-2, CDK-2 and PDGFRβ kinases. Furthermore, molecular modeling studies of the compound revealed its possible binding modes into the active sites of those kinases.

摘要

一系列大环吡啶-戊肽候选物 ⁻ 是通过使用 ,-双-[1-羧基-2-(苄基)]-2,6-(二氨基羰基)吡啶 ,作为起始原料合成的。新合成化合物的结构通过 IR、 ¹H 和 C-NMR 以及 MS 光谱数据和元素分析确定。对所有化合物进行了体外细胞毒性活性研究,以评估其对 MCF-7 和 HepG-2 细胞系的抑制作用,与参比药物相比,大多数化合物对测试的细胞系表现出很强的抗癌活性。在大环吡啶-戊肽类化合物中,化合物 对 MCF-7 和 HepG-2 细胞系具有令人鼓舞的抑制活性,IC 值分别为 9.41 ± 1.25 和 7.53 ± 1.33 μM。有趣的是,化合物 还表现出针对 VEGFR-2、CDK-2 和 PDGFRβ 激酶的多靶点特性和优异的抑制活性。此外,对化合物 的分子建模研究揭示了其可能的结合模式进入这些激酶的活性部位。

https://cdn.ncbi.nlm.nih.gov/pmc/blobs/fd67/6222410/0deab9b0e11f/molecules-23-02416-g001.jpg

文献AI研究员

20分钟写一篇综述,助力文献阅读效率提升50倍。

立即体验

用中文搜PubMed

大模型驱动的PubMed中文搜索引擎

马上搜索

文档翻译

学术文献翻译模型,支持多种主流文档格式。

立即体验