Suppr超能文献

对偶数据分析在行为医学研究中的应用:不孕夫妇的婚姻满意度和焦虑。

Application of the dyadic data analysis in behavioral medicine research: marital satisfaction and anxiety in infertile couples.

机构信息

Department of Epidemiology and Reproductive Health, Reproductive Epidemiology Research Center, Royan Institute for Reproductive Biomedicine, ACECR, Tehran, Iran.

Department of Epidemiology and Biostatistics, School of Public Health, Tehran University of Medical Sciences, Tehran, Iran.

出版信息

BMC Med Res Methodol. 2018 Oct 26;18(1):117. doi: 10.1186/s12874-018-0582-y.

Abstract

BACKGROUND

Dyadic data analysis (DDA) is increasingly being used to better understand, analyze and model intra- and inter-personal mechanisms of health in various types of dyads such as husband-wife, caregiver-patient, doctor-patient, and parent-child. A key strength of the DDA is its flexibility to take the nonindependence available in the dyads into account. In this article, we illustrate the value of using DDA to examine how anxiety is associated with marital satisfaction in infertile couples.

METHODS

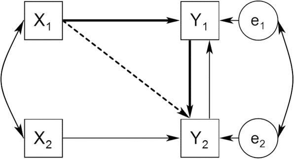
This cross-sectional study included 141 infertile couples from a referral infertility clinic in Tehran, Iran between February and May 2017. Anxiety and marital satisfaction were measured by the anxiety subscale of the Hospital Anxiety and Depression Scale and 10-Item ENRICH Marital Satisfaction Scale, respectively. We apply and compare tree different dyadic models to explore the effect of anxiety on marital satisfaction, including the Actor-Partner Interdependence Model (APIM), Mutual Influence Model (MIM), and Common Fate Model (CFM).

RESULTS

This study demonstrated a practical application of the dyadic models. These dyadic models provide results that appear to give different interpretations of the data. The APIM analysis revealed that both men's and women's anxiety excreted an actor effect on their own marital satisfaction. In addition, women's anxiety exerted a significant partner effect on their husbands' marital satisfaction. In MIM analysis, in addition to significant actor effects of anxiety on marital satisfaction, women's reports of marital satisfaction significantly predicted men's marital satisfaction. The CFM analysis revealed that higher couple anxiety scores predicted lower couple marital satisfaction scores.

CONCLUSION

In sum, the study highlights the usefulness of DDA to explore and test the phenomena with inherently dyadic nature. With regard to our empirical data, the findings confirmed that marital satisfaction was influenced by anxiety in infertile couples at both individual and dyadic level; thus, interventions to improve marital satisfaction should include both men and women. In addition, future studies should consider using DDA when dyadic data are available.

摘要

背景

对偶数据分析(DDA)越来越多地被用于更好地理解、分析和建模各种类型的对偶体(如夫妻、照顾者-患者、医生-患者和父母-子女)中的个体内和个体间的健康机制。DDA 的一个关键优势是它能够灵活地考虑对偶体中的非独立性。在本文中,我们举例说明了使用 DDA 来研究焦虑如何与不孕夫妇的婚姻满意度相关的价值。

方法

本横断面研究包括 2017 年 2 月至 5 月间来自伊朗德黑兰一家不孕症诊所的 141 对不孕夫妇。焦虑和婚姻满意度分别用医院焦虑和抑郁量表的焦虑子量表和 10 项 ENRICH 婚姻满意度量表进行测量。我们应用并比较了三种不同的对偶模型来探索焦虑对婚姻满意度的影响,包括演员-伙伴相互依赖模型(APIM)、相互影响模型(MIM)和共同命运模型(CFM)。

结果

本研究展示了对偶模型的实际应用。这些对偶模型提供的结果似乎对数据有不同的解释。APIM 分析表明,男性和女性的焦虑都对自己的婚姻满意度产生了演员效应。此外,女性的焦虑对其丈夫的婚姻满意度产生了显著的伙伴效应。在 MIM 分析中,除了焦虑对婚姻满意度的显著演员效应外,女性对婚姻满意度的报告还显著预测了男性对婚姻满意度的报告。CFM 分析表明,夫妻焦虑得分越高,夫妻婚姻满意度得分越低。

结论

总之,该研究强调了 DDA 在探索和测试具有固有对偶性质的现象方面的有用性。就我们的实证数据而言,研究结果证实,在个体和对偶层面上,不孕夫妇的婚姻满意度都受到焦虑的影响;因此,改善婚姻满意度的干预措施应该包括男性和女性。此外,未来的研究应在可用对偶数据时考虑使用 DDA。

https://cdn.ncbi.nlm.nih.gov/pmc/blobs/4831/6203997/72d7b5c40e18/12874_2018_582_Fig2_HTML.jpg

文献AI研究员

20分钟写一篇综述,助力文献阅读效率提升50倍。

立即体验

用中文搜PubMed

大模型驱动的PubMed中文搜索引擎

马上搜索

文档翻译

学术文献翻译模型,支持多种主流文档格式。

立即体验