Suppr超能文献

住宅绿地数量和质量与心理困扰症状:3897 名产后妇女 15 年的纵向研究。

Residential green space quantity and quality and symptoms of psychological distress: a 15-year longitudinal study of 3897 women in postpartum.

机构信息

Population Wellbeing and Environment Research Lab (PowerLab), School of Health and Society, Faculty of Social Sciences, University of Wollongong, Wollongong, NSW, Australia.

Menzies Centre for Health Policy, University of Sydney, Sydney, NSW, Australia.

出版信息

BMC Psychiatry. 2018 Oct 26;18(1):348. doi: 10.1186/s12888-018-1926-1.

Abstract

BACKGROUND

Experiments and large-scale epidemiological studies indicate the importance of green space for mental health. However, little research has been conducted to elucidate whether these mental health benefits are more dependent upon the quantity or quality of the green space.

METHODS

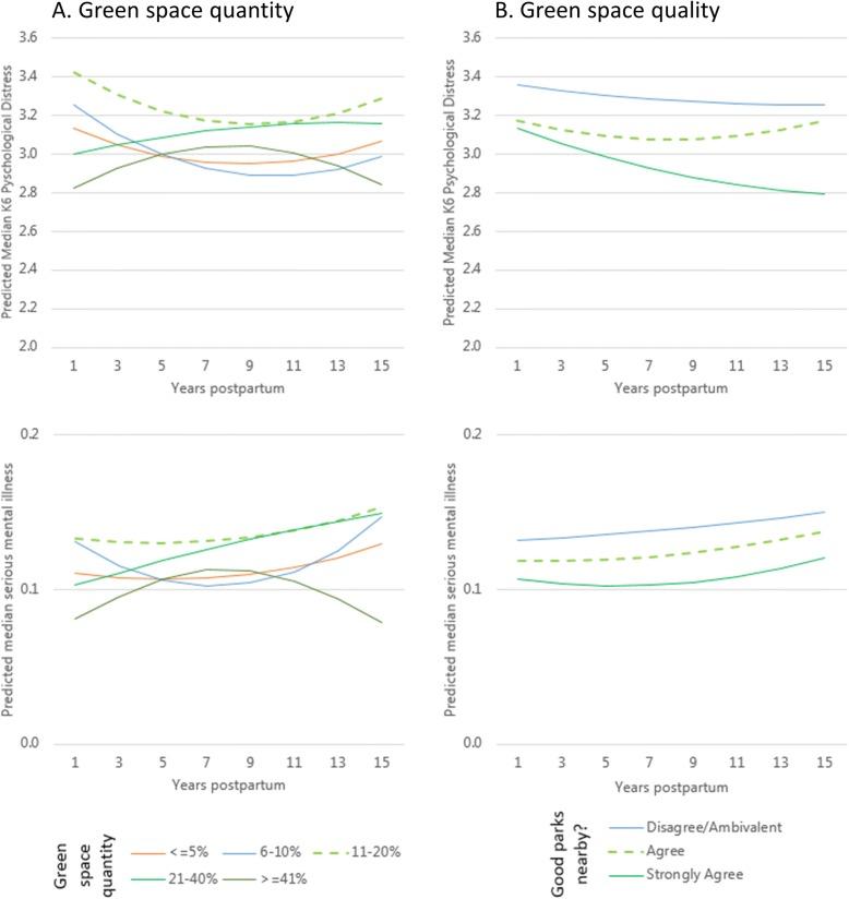
Symptoms of psychological distress were measured in 3897 women who did not change neighbourhood up to 15 years postpartum using the Kessler 6 psychological distress scale from 2004 onwards. The percentage land-use of the neighbourhood was used to ascertain a measure of green space quantity. A Likert scale was used to measure green space quality in response to the statement "there are good parks, playgrounds and play spaces in this neighbourhood." Multilevel negative binomial growth curve regression models were used to examine the patterning of symptoms of psychological distress across the postpartum period in relation to green space quantity and quality, adjusting for person-level and geographical markers of confounding. The same variables were also fitted in multilevel logistic regressions to examine the odds of reporting serious mental illness (as defined by K6 scores ≥ 13 out of 24).

RESULTS

Symptoms of psychological distress were fewer among women who agreed (rate ratio (RR) 0.95, 95%CI 0.91 to 0.98) and strongly agreed (RR 0.89, 95%CI 0.85 to 0.93) local parks were good quality. The odds of reporting serious mental illness were also lower among women who agreed (odds ratio (OR) 0.88, 95%CI 0.77 to 1.00) and strongly agreed (OR 0.74, 95%CI 0.64 to 0.86) local parks were good quality. No association was found between green space quantity and symptoms of psychological distress or the odds of reporting serious mental illness.

CONCLUSIONS

This study suggests it may be how mothers perceive green space nearby and what those spaces enable them to do, rather than simply how much there is overall, that is important for promoting mental health in the postpartum period. In conclusion, community consultation is likely to be a crucial part of strategies that maximise the health benefits of urban greening for everyone.

摘要

背景

实验和大规模的流行病学研究表明,绿色空间对心理健康很重要。然而,很少有研究来阐明这些心理健康益处是否更依赖于绿色空间的数量或质量。

方法

在 2004 年之后,使用 Kessler 6 心理困扰量表,对 3897 名在产后 15 年内没有改变居住环境的女性进行了心理困扰症状的测量。使用邻里的土地利用百分比来确定一个衡量绿色空间数量的指标。使用李克特量表来衡量邻里的绿色空间质量,对“这个社区有很好的公园、游乐场和游戏空间”这句话做出回应。使用多层次负二项式增长曲线回归模型,在校正了个体和地理标记的混杂因素后,研究了产后期间心理困扰症状的模式与绿色空间数量和质量之间的关系。同样的变量也被纳入多层次逻辑回归中,以研究报告严重精神疾病(K6 评分≥24 分中的 13 分)的几率。

结果

同意(比率比 0.95,95%置信区间 0.91 至 0.98)和强烈同意(比率比 0.89,95%置信区间 0.85 至 0.93)当地公园质量好的女性,其心理困扰症状较少。同意(比值比 0.88,95%置信区间 0.77 至 1.00)和强烈同意(比值比 0.74,95%置信区间 0.64 至 0.86)当地公园质量好的女性,报告严重精神疾病的几率也较低。绿色空间数量与心理困扰症状或报告严重精神疾病的几率之间没有关联。

结论

这项研究表明,可能是母亲对附近绿色空间的看法以及这些空间使她们能够做什么,而不仅仅是总体上有多少绿色空间,对促进产后期间的心理健康很重要。总之,社区咨询很可能是最大化城市绿化对每个人健康益处的策略的关键部分。

https://cdn.ncbi.nlm.nih.gov/pmc/blobs/2f5a/6204015/9637bb40faa1/12888_2018_1926_Fig1_HTML.jpg

文献AI研究员

20分钟写一篇综述,助力文献阅读效率提升50倍。

立即体验

用中文搜PubMed

大模型驱动的PubMed中文搜索引擎

马上搜索

文档翻译

学术文献翻译模型,支持多种主流文档格式。

立即体验