Suppr超能文献

兔脂肪组织出生后发育过程中长链非编码 RNA 的全基因组鉴定和特征分析。

Genome-wide identification and characterization of long non-coding RNAs during postnatal development of rabbit adipose tissue.

机构信息

Farm Animal Genetic Resources Exploration and Innovation Key Laboratory of Sichuan Province, Sichuan Agricultural University, Chengdu, 611130, China.

College of Pharmacy and Biological Engineering, Chengdu University, Chengdu, 610106, China.

出版信息

Lipids Health Dis. 2018 Nov 28;17(1):271. doi: 10.1186/s12944-018-0915-1.

Abstract

BACKGROUND

The rabbit is widely used as an important experimental model for biomedical research, and shows low adipose tissue deposition during growth. Long non-coding RNAs (lncRNAs) are associated with adipose growth, but little is known about the function of lncRNAs in the rabbit adipose tissue.

METHODS

Deep RNA-sequencing and comprehensive bioinformatics analyses were used to characterize the lncRNAs of rabbit visceral adipose tissue (VAT) at 35, 85 and 120 days after birth. Differentially expressed (DE) lncRNAs were identified at the three growth stages by DESeq. The cis and trans prediction ways predicted the target genes of the DE lncRNAs. To explore the function of lncRNAs, Gene Ontology (GO) enrichment and Kyoto Encyclopedia of Genes and Genomes (KEGG) pathway analyses were performed on the candidate genes.

RESULTS

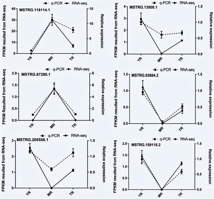
A total of 991,157,544 clean reads were generated after RNA-Seq of the three growth stages, of which, 30,353 and 107 differentially expressed (DE) lncRNAs were identified. Compared to the protein-coding transcripts, the rabbit lncRNAs shared some characteristics such as shorter length and fewer exons. Cis and trans target gene prediction revealed, 43 and 64 DE lncRNAs respectively, corresponding to 72 and 20 protein-coding genes. GO enrichment and KEGG pathway analyses revealed that the candidate DE lncRNA target genes were involved in oxidative phosphorylation, glyoxylate and dicarboxylate metabolism, and other adipose growth-related pathways. Six DE lncRNAs were randomly selected and validated by q-PCR.

CONCLUSIONS

This study is the first to profile the potentially functional lncRNAs in the adipose tissue growth in rabbits, and contributes to our understanding of mammalian adipogenesis.

摘要

背景

兔子被广泛用作生物医学研究的重要实验模型,在生长过程中脂肪组织沉积较低。长链非编码 RNA(lncRNA)与脂肪生长有关,但对于 lncRNA 在兔脂肪组织中的功能知之甚少。

方法

使用深度 RNA 测序和综合生物信息学分析来描述兔内脏脂肪组织(VAT)在出生后 35、85 和 120 天的 lncRNA。通过 DESeq 鉴定三个生长阶段的差异表达(DE)lncRNA。顺式和反式预测方法预测 DE lncRNA 的靶基因。为了探索 lncRNA 的功能,对候选基因进行基因本体论(GO)富集和京都基因与基因组百科全书(KEGG)通路分析。

结果

三个生长阶段的 RNA-Seq 共产生 991,157,544 条清洁读数,其中鉴定出 30,353 和 107 个差异表达(DE)lncRNA。与蛋白质编码转录物相比,兔 lncRNA 具有一些特征,如较短的长度和较少的外显子。顺式和反式靶基因预测分别揭示了 43 和 64 个 DE lncRNA,分别对应 72 和 20 个蛋白质编码基因。GO 富集和 KEGG 通路分析表明,候选 DE lncRNA 靶基因参与氧化磷酸化、乙醛酸和二羧酸代谢以及其他与脂肪生长相关的途径。随机选择了六个 DE lncRNA 并通过 q-PCR 进行了验证。

结论

本研究首次对兔脂肪组织生长中潜在功能的 lncRNA 进行了分析,有助于我们了解哺乳动物的脂肪生成。

https://cdn.ncbi.nlm.nih.gov/pmc/blobs/a41c/6263043/1cdd89010baf/12944_2018_915_Fig1_HTML.jpg

文献AI研究员

20分钟写一篇综述,助力文献阅读效率提升50倍。

立即体验

用中文搜PubMed

大模型驱动的PubMed中文搜索引擎

马上搜索

文档翻译

学术文献翻译模型,支持多种主流文档格式。

立即体验